水准仪工作原理及讲解视频 (水准仪操作步骤方法详解图解)

一、水准测量原理

1. 水准测量基本原理

目的:测定两点的高差

仪器:水准仪

原理:利用水准仪提供的水平视线对竖立在两点之间的水准尺进行观测 ,并通过其中一个点(M点)的高程推算另一个点(N点)的高程。

光学水准仪操作原理,电子水准仪测量原理

2. 水准测量观测方法

光学水准仪操作原理,电子水准仪测量原理

(1)高差法: 在M、N两点间安置水准仪,在M、N两点分别竖立水准尺,利用水准移的水平视线分别读取M点、N点上的读数a、b,则两点的高差为

光学水准仪操作原理,电子水准仪测量原理

a:后视读数(后视观测读数);

b:前视读数(前视观测读数)。

M:后视点

N:前视点

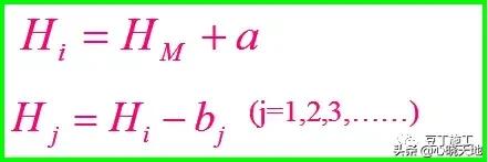
(2)视线高法(单站多测法)

安置一次仪器可以测算多个点高程的方法。首先算出水准仪的视线高程Hi,然后分别计算出各个点的高程:

光学水准仪操作原理,电子水准仪测量原理

bj为第j个前视点的读数,Hj为第j个前视点的高程。

这种方法常用于路线纵断面测量。

光学水准仪操作原理,电子水准仪测量原理

3. 连续水准测量(路线水准测量)

应用前提:两待测点之间距离较远、高差较大,或中间有障碍。

方法:加设若干个临时立尺点(称为转点ZD),依此测定相邻两个点的高差,取各高差的代数和即得到起终两个点的高差。

光学水准仪操作原理,电子水准仪测量原理

则M、N两点的高差为

光学水准仪操作原理,电子水准仪测量原理

光学水准仪操作原理,电子水准仪测量原理

4. 提高精度的观测方法

“中间法”观测:各测站前、后视线长度大致相等

光学水准仪操作原理,电子水准仪测量原理

二、水准仪

1. 水准仪:提供水平视线(平行大地水准面)的设备

2. 水准仪类型:

(1)微倾式水准仪

(2)自动安平水准仪

(3)电子水准仪

3. 水准仪的表示方法(国产仪器)

DSn:D表示大地测量S表示水准仪,n为数字表示仪器精度,数值n越小,表示仪器精度越高。如DS0.5,,表示每公里往返测量高差中数的偶尔中误差小于或等于0.5mm。

4. 常用水准仪的等级划分及主要用途

光学水准仪操作原理,电子水准仪测量原理

5. 水准仪的主要结构组成

主要为三部分:

(1)望远镜 (2)水准器 (3)基座

其中望远镜为主要组成部分。下图为WILD NAK-0X型水准仪

光学水准仪操作原理,电子水准仪测量原理

6. 望远镜组成及其成像原理

望远镜由物镜、目镜、对光凹透镜和十字丝四个主要部分组成。

成像原理:目标经过物镜和对光凹透镜的作用,在镜筒内导致倒立、缩小的实像,通过调节对光凹透镜,就可以使像清晰地成在十字丝平面上。

(望远镜的放大倍数)

光学水准仪操作原理,电子水准仪测量原理

目镜的作用:放大,人眼经过目镜,可以看到目标的小实像与十字丝一起放大了的虚像。

十字丝的作用:提供照准目标的标准。其中心交点和物镜光心的连线称为视准轴,即视线。玻璃片上的上、下短丝称为视距丝。水准测量就是当视线水平时,用中间横丝截取水准尺读数。

视准轴:十字丝中央交点和物镜光心的连线 (水准仪四条轴线之一)

竖轴:望远镜底部与基座相连的轴的中心线。 (水准仪四条轴线之一)

光学水准仪操作原理,电子水准仪测量原理

7. 水准器

(1)水准器的用途:

衡量视线是否水平、竖轴是否铅垂的标志。

(2)水准器种类:水准盒及水准管

水准盒用于粗调整平,水准管则用于精密整平。

光学水准仪操作原理,电子水准仪测量原理

(3)水准盒轴线:

水准盒顶面中心(水准盒零点)的球面法线(水准仪四条主要轴线之一)。

(4)水准管轴线:

过水准管圆弧中心点(水准管零点)与顶面圆弧内壁相切的直线(水准仪四条主要轴线之一)。

(5)水准器灵敏度:

用分划值表示,即当气泡移动2mm时,水准盒(管)轴相应倾斜的角度。

光学水准仪操作原理,电子水准仪测量原理

8. 水准尺

用途:用于水准测量的目标点观测

种类:塔尺和板尺两种。塔尺是可以伸缩的,塔尺一般长3米,由三节组成。板尺一般2米。

水准尺的刻度与标注:

光学水准仪操作原理,电子水准仪测量原理

光学水准仪操作原理,电子水准仪测量原理

精度比较:板尺精度高于塔尺。

用 途:板尺一般常用于三、四等水准测量,而塔尺则用于等外水准测量。

使用注意事项:使用前应认清尺子刻划线与数字之间的位置关系,是否为正、倒数字,尺底的数值。对于塔尺,当使用两节以上时应注意两节接口位置是否对准、卡簧是否卡住。

三、水准仪使用方法

光学水准仪操作原理,电子水准仪测量原理

注意:如何辨别及消除视差?

光学水准仪操作原理,电子水准仪测量原理

用脚螺旋整平仪器

光学水准仪操作原理,电子水准仪测量原理

视差存在的根本原因:目标像和十字丝分划板不重合!!!

光学水准仪操作原理,电子水准仪测量原理

光学水准仪操作原理,电子水准仪测量原理

水准尺读数方法:

四、水准测量的实施

1. 水准点及其选择

水准测量必须要有已知水准点(即其高程已知的点,用BM表示,如BM0、BM1等)

水准点选择:结合测区内水准点的分布情况、被测点的分布以及地形地势情况、所采取的路线形式选择。

水准点类型:永久性和临时性

水准点制成:依永久性及临时性水准点而制做。

1. 水准点及其选择

水准测量必须要有已知水准点(即其高程已知的点,用BM表示,如BM0、BM1等)

水准点选择:结合测区内水准点的分布情况、被测点的分布以及地形地势情况、所采取的路线形式选择。

水准点类型:永久性和临时性

水准点制成:依永久性及临时性水准点而制做。

1. 水准点及其选择

水准测量必须要有已知水准点(即其高程已知的点,用BM表示,如BM0、BM1等)

水准点选择:结合测区内水准点的分布情况、被测点的分布以及地形地势情况、所采取的路线形式选择。

水准点类型:永久性和临时性

水准点制成:依永久性及临时性水准点而制做。

2. 水准路线布置

光学水准仪操作原理,电子水准仪测量原理

附合水准路线

(3)支水准路线:从一水准点出发,沿线测量各待定点,其线路既不闭合到原来的已知点,也不附合到另一已知点。而是通过往返观测来检查观测差。理论上往返高差应为绝对值相等而符号相反。

光学水准仪操作原理,电子水准仪测量原理

(4)结点水准网:由若干条单水准路线相互连接而成的图形。可分为附合水准网及独立水准网。

光学水准仪操作原理,电子水准仪测量原理

光学水准仪操作原理,电子水准仪测量原理

3. 水准测量施测

(1)观测与记录:采用连续水准路线测量方法进行测量。点与点之间的距离大小取决于通视条件、读数清晰度以及保证视线在尺子范围内,一般为50~100米。注意:待测点必须要立尺观测。对每一测站分别记录后视读数及前视读数。注意:记录方法

光学水准仪操作原理,电子水准仪测量原理

(2)测量结果校核

1)计算校核:检查计算结果有无错误:高差计算结果;采用公式是否正确等。

2)测站校核:对每一站的观测和记录都及时地在现场进行校核。校核方法有:变动仪器高法、双面尺法或双仪器法;

3)路线校核:根据计算的闭合差,与规定的允许误差比较,判断观测精度是否合格。

平地

光学水准仪操作原理,电子水准仪测量原理

(L 为水准路线总长度km)

山地

光学水准仪操作原理,电子水准仪测量原理

(n为测站总数)

4. 水准测量的高程计算

(1)高差闭合差计算

计算闭合差及闭合差允许值,写在“路线校核”栏内。

(2)高差闭合差分配及高程计算

当导线闭合差满足技术要求时,可进行闭合差分配。分配的原则:改正数v与测站数n(或路线长度L)成正比,与闭合差反号,即

光学水准仪操作原理,电子水准仪测量原理

各点高程值

光学水准仪操作原理,电子水准仪测量原理

H0:已知点的高程,Hi为改正前的高程值。

五、水准测量的误差来源及削减措施

光学水准仪操作原理,电子水准仪测量原理

六、水准仪校验

1. 水准仪轴线几何关系

(1)水准盒轴平行竖轴;

(2)十字丝横丝垂直竖轴;

(3)水准管轴平行视准轴。

光学水准仪操作原理,电子水准仪测量原理

2. 检验方法:

(1)检验水准盒轴与竖轴是否平行: 调平水准盒气泡居中,然后旋转望远镜180度,若气泡依然居中则两轴平行。

(2)检验十字丝横轴与竖轴是否垂直: 将十字丝横丝左端对准某一目标,旋转水平微动螺旋使目标移到十字丝的右端,若目标依然位于十字丝横丝上则表明两轴垂直。

(3)检验水准管轴是否平行视准轴: 在已知高差的两点间架设仪器,并使仪器距两点之间的距离悬殊,首先在其中一个点立尺观测读数a,并根据a计算出仪器对另一点的应该读数b。然后对其进行观测读数得b’,利用b’、b及两测点之间的距离DMN可以计算出两轴线的夹角γ (单位为秒) , 若γ 大于20秒 不平行。

七、其它用于水准测量的仪器

1.精密水准仪

光学测微器+精密水准尺

2.自动安平水准仪

自动补偿装置,补偿视准轴出现轻微倾斜带领的误差。

3.电子水准仪(数字水准仪)

分光镜和探测器+条纹编码标尺+图象处理电子系统。自动读数、记录和计算。

4.激光水准仪

激光发射器,测定激光双程走时计算两点间的距离。

5.全站测量仪

光学理论+几何理论+计算机理论+计算方法。可在一个测站上同时测角(水平角和竖直角)和测距(斜距、水平距离和高差),并能自动计算出待测点的三维坐标。