
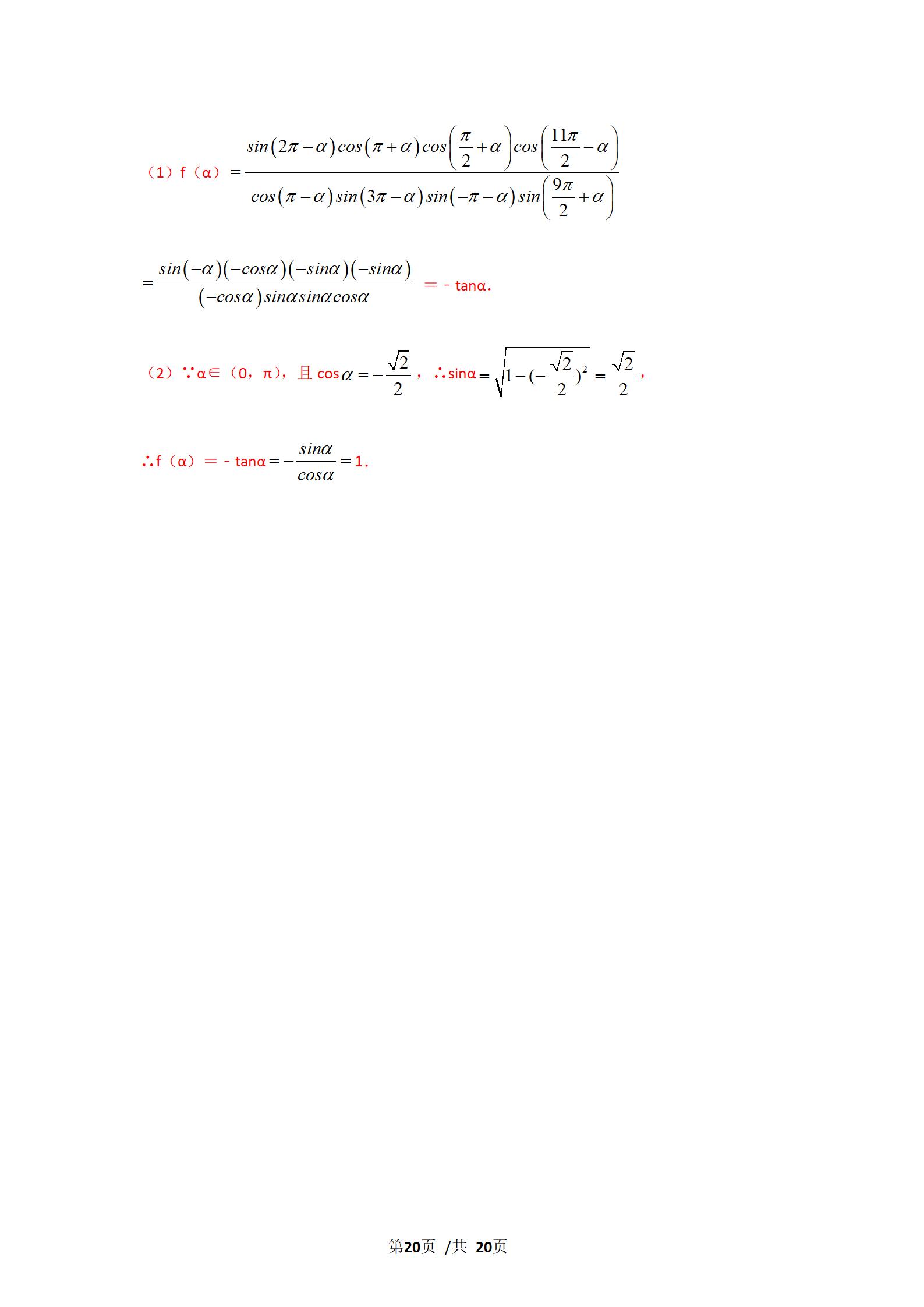
任意角与弧度制、三角函数的概念、诱导公式

任意角与弧度制、三角函数的概念、诱导公式

任意角与弧度制、三角函数的概念、诱导公式

任意角与弧度制、三角函数的概念、诱导公式

任意角与弧度制、三角函数的概念、诱导公式

任意角与弧度制、三角函数的概念、诱导公式

任意角与弧度制、三角函数的概念、诱导公式

任意角与弧度制、三角函数的概念、诱导公式

任意角与弧度制、三角函数的概念、诱导公式

任意角与弧度制、三角函数的概念、诱导公式

任意角与弧度制、三角函数的概念、诱导公式

任意角与弧度制、三角函数的概念、诱导公式

任意角与弧度制、三角函数的概念、诱导公式

任意角与弧度制、三角函数的概念、诱导公式

任意角与弧度制、三角函数的概念、诱导公式

任意角与弧度制、三角函数的概念、诱导公式

任意角与弧度制、三角函数的概念、诱导公式

任意角与弧度制、三角函数的概念、诱导公式

任意角与弧度制、三角函数的概念、诱导公式

任意角与弧度制、三角函数的概念、诱导公式