
本题仍然保持着短小精悍的特点,题干超少,条件超少,但感觉问题超级难,但是解决后又感觉超级简单,这就是希望杯的特点! 这就是数学啊。

答案和这里面的数字有关哦
首先想的是,会编程多好,编写一个小程序,然后跑一次,计算量应该也不会多大,答案就出来。出题人会不会就是采用这样的方法找出了一个这样的数,出了一道这样的试题!
刚开始应该都是毫无头绪的,主要看所给的两个条件之间如何建立起关系,
(x+y)^2 可以吗?好像可以,但是计算明显很复杂
但是 根号xy=G
不就建立起两个式子之间的联系了,设A=10a+b, G =10b+a 如下:

不小心漏掉一个2,懒得重新打了
接下来就要分析这两个式子了,

观察
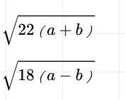
这两个式子计算的情况可以看到,它们是同类项或同类二次根式,否则怎么能进行加减运算呢!!

分解看看,注意a-b a+b的范围
它们都是整数? 很显然不可能,a+b不可能等于22!
所以它们只能是同类二次根式,多观察观察两者之间的关系吧!都有因数 2, 不清楚,可以多尝试几次。最后他们计算的结果是多少多少根号2.
因此:a+b=11
a-b=1或4或9 (4,9都不行)
为什么,自己多想想,不清楚可以在评论区问问,大家也可以讨论!!
计算得a=6,b=5
接下来要计算x和y的值就易如反掌了!这里就不算了,自己算吧,答案是98 32.
感觉本题还是有一定的难度的,主要是在式子的变形上,因为我们之前所做的都是平方,而不是开方。
如果还有其它答案和其它方法,请在下方留言!!
这个应该是给出的标准答案,感觉过于*力暴**,缺乏一定的轻巧和灵便,
嗯,要谦虚!

希望杯27届初二 二试最后的三道大题已经分析完毕,有感兴趣的同学,可关注头条号,查阅以前的内容。