
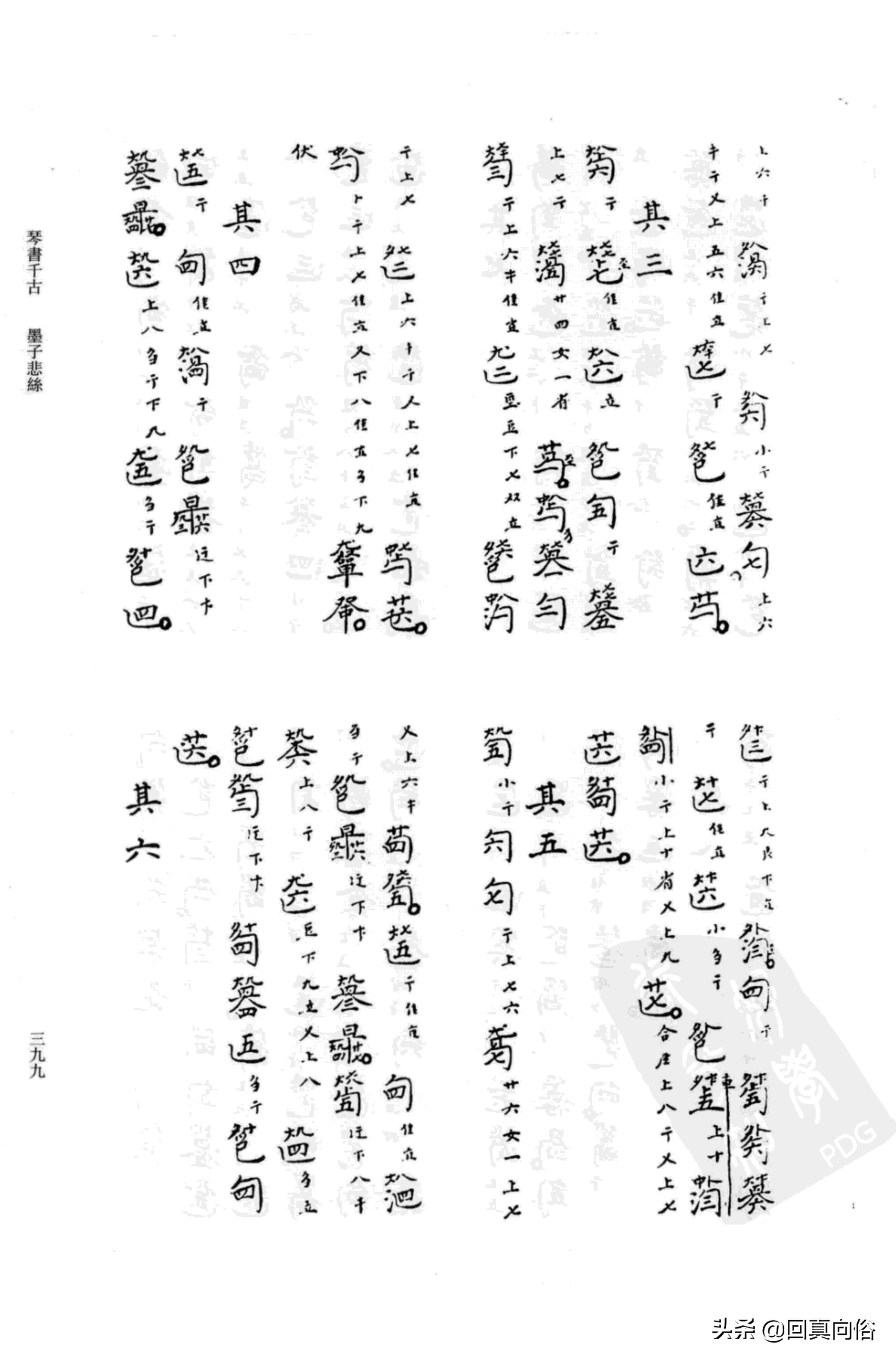
全书在第一卷有极简略的琴论四页,其余为琴谱,其中《银纽丝》、《韦编》、《凤求凰》为他谱所无,《平沙落雁》、《湘妃怨》、《阳关三叠》、《陋室铭》、《清平乐》、《鸥鹭忘机》、《沧海龙吟》七曲,也大异他谱。此外还收录了《圯桥进履》、《梧叶舞秋风》、《墨子悲丝》、《雁过衡阳》、《塞上鸿》、《汉宫秋》、《胡笳》 、《春江送别》等曲目。目录后有未署名的小序一篇,根据序中所说的确是中州派的琴谱。


全书在第一卷有极简略的琴论四页,其余为琴谱,其中《银纽丝》、《韦编》、《凤求凰》为他谱所无,《平沙落雁》、《湘妃怨》、《阳关三叠》、《陋室铭》、《清平乐》、《鸥鹭忘机》、《沧海龙吟》七曲,也大异他谱。此外还收录了《圯桥进履》、《梧叶舞秋风》、《墨子悲丝》、《雁过衡阳》、《《塞上鸿》、《汉宫秋》、《胡笳》 [2] 、《春江送别》等曲目。目录后有未署名的小序一篇,根据序中所说的确是中州派的琴谱。
























































































