一、位逻辑指令
(一)触点及线圈指令
PLC梯形图语言的编程原则
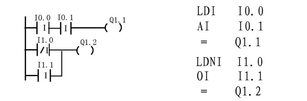
1、梯形图由多个梯级组成,每个线圈可构成一个梯级,每个梯级有多条支路,每个梯级代表一个逻辑方程;
2、梯形图中的继电器、接点、线圈不是物理的,是PLC存储器中的位(1=0N;0=0FF);编程时常开/常闭接点可无限次引用,线圈输出只能是一次;
3、梯形图中流过的不是物理电流而是“概念电流”,只能从左向右流;
4、用户程序的运算是根据PLC的输入/输出映象寄存器中的内容,逻辑运算结果可以立即被后面的程序使用;
5、PLC的内部继电器不能做控制用,只能存放逻辑控制的中间状态;
6、输出线圈不能直接驱动现场的执行元件,通过I/模块上的功率器件来驱动。
基本逻辑指令以位逻辑操作为主,在位逻辑指令中,除非有特殊说明,操作数的有效区域为:I、Q、M、SM、T、C、V、S、L且数据类型为BOOL触点和线圈指令又分为:标准指令、立即指令、取反指令、正(负)跳变指令。



















二、定时器指令
包括:接通延时定时器(TON)、有记忆的接通延时(保持型)定时器(TONR)、断开延时定时器(TOF)。S7-200有256个定时器(T0~T255)。










三、计数器指令
包括:加计数CTU、减计数CTD和加/减计数CTUD总共有256个(C0~C255)。计数器是对PLC内部的时钟脉冲进行计数,而计数器是对外部的或由程序产生的计数脉冲进行计数。计数器累计计数的当前值(16位有符号整数),它存放在计数器的16位(bit)当前值寄存器中。
每个计数器只有一个16位的当前值寄存器地址。在一个程序中,同一计数器号不要重复使用,更不可分配给几个不同类型的计数器。






技成PLC课堂邀请你一起get PLC技能!
《三菱FX PLC编程与应用入门》与《西门子S7-200 PLC从入门到精通》是技成培训网的内部教材,也是技成培训网精品书籍。


针对刚学PLC的学员需求,李金城老师和梁智斌老师从认知、理解到应用,由浅入深地编写了这两本书籍,结合大量图解和案例,争取用最简单明了的方式让初学者顺利地掌握PLC知识。
“也许你会说,我是个刚入行的电工,文化水平也不高,能学PLC编程吗?也许你会说,我从来没有接触过PLC,能学懂吗?那我们先告诉你,只要你是初中以上文化水平,有阅读和理解的能力,那你就已经具备学习PLC课程的基础了;如果你再干过一年以上的电工,有一定的电气实践和应用知识,那你就已经具备学好PLC及其应用的能力了。”
在最短的时间里,让你学好、掌握好、用好PLC基本知识及其编程入门。教你如何从入门到精通、如何从入门到实践。
关注技成PLC课堂公众号,参与免费领书活动!40岁,我们晋升高级电工,加薪不转行!!
↓↓↓进入技成PLC课堂