上篇文章里,我们讲解了一些特殊测量方法。本文我们来讲一讲体积的特殊测量方法。这里所说的特殊方法主要是针对形状不规则的物体的体积进行测量,所要用到的器材就是量筒和量杯。

我们先来回忆一下形状规则的物体体积怎么计算,我们在小学和初中阶段学习的规则物体无非是正方体、长方体、圆柱体、圆锥体这四个,它们的体积也都是通过数学公式进行计算。
为什么还要在这里花费篇幅来讲解公式,就是想从另外一个角度来阐述一下公式的由来。其实就是向大家渗透积分的思想,积分思想说简单点无非就是累加量、叠加量的思想。

无论是积分还是微分,都是有方向性的,微分是表示某一方向上的变化率的,而积分则是表示某一方向上的累加量。
数学上说,点动成线、线动成面,面动成体。平移:就是量的累加结果,等于本身×平移距离。点动成线,其实长度就是点的累加量,点无大小,所以长度就是平移的距离;线动成面,面积就是线的累加量,所以面积就是线(本身)×平移距离,也即是长×宽;面动成体,也就是说,面的累加就形成了正方体、长方体、圆柱体、圆锥体等。
正方体

正方体是特殊的长方体,正方体的体积为棱长(a)乘棱长(a)乘棱长(a),也就是棱长(a)的立方。这里给大家解释一些,边长一般用作立体图形,棱长一般用作平面图形。

面动成体,体积就是面的累加量,所以正方体可以看成是一个“正方形”在竖直方向(Z轴)上累加了一个高度,正方体可以看成是无数个正方形纸片在竖直方向上叠起来而形成的,所以正方体的体积为“底面积×高”,即棱长的立方。
长方体

长方体的体积为长(a)乘宽(b)乘高(h),公式为:

同理,长方体也可以看成是底面一个“长方形”在竖直方向(Z轴)上累加了一个高度,长方体可以看成无数个长方形纸片在竖直方向上叠起来而形成的,所以长方体的体积也是“底面积×高”,即长×宽×高。
圆柱体

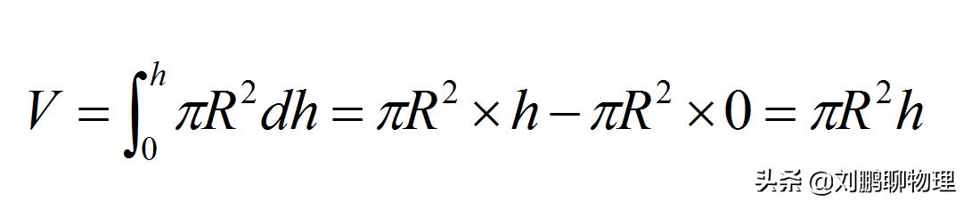
圆柱体的体积为底面积(S)乘以高(h),因为圆柱体的上下面为圆形,圆的半径为R,则体积公式为:

这个公式的由来还是非常有意思的,利用的思想依然是数学中的微分思想,然后进行积分,就可把圆柱体,当成正方体的体积进行计算啦。

这是分割思想,即微分思想,从积分思想出发也一样。圆柱体可以看成一个“圆”形纸片在Z轴上叠起来而形成的,因此圆柱体的体积即为“底面积×高”,即πR²h。
从专业的角度,圆柱体体积的公式怎么得到的呢?,其实就是积分运算:(看不懂的,这一段自动忽略哈,ー( ̄~ ̄)ξ)

圆锥体

圆锥体的体积为三分之一底面积乘以高,体积公式为:

这个公式怎么得到的呢?小学中给出了一种特别好的思维方式,分别做出一个底面积相同、高相同的圆柱形容器和圆锥形容器,在圆锥形容器中装满水,再倒入圆柱形容器中,发现刚好需要三次能把圆柱形容器给加满。因此,对于等底面积、等高的圆柱体和圆锥体,圆柱体的体积是圆锥体体积的3倍。

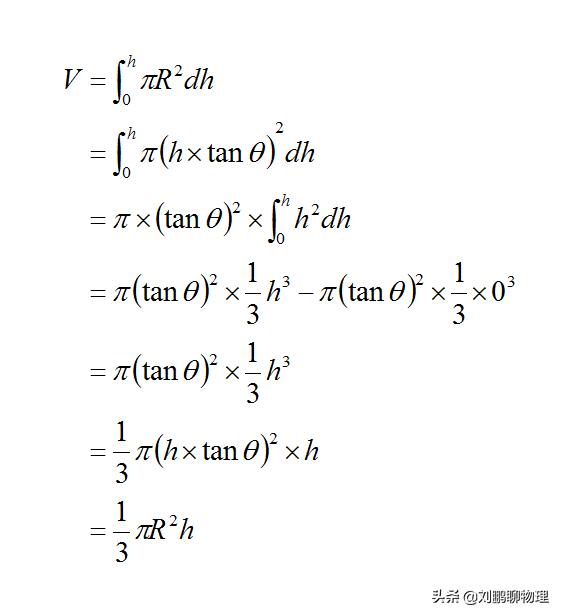
从数学积分的角度,圆锥体也是“圆”在竖直方向(Z轴)上的叠加,只不过区别于圆柱体的是,圆锥体中“圆”的累加,是大小不同的圆,越向Z轴正方向,圆的半径越小。
如下图所示,圆锥体的正视图是三角形,半径实际上就是这个三角形的底的一半,我们把这个三角形沿Z轴分开,分成了两个直角三角形,直角三角形的斜边与Z轴的夹角设为θ,则tanθ=R/h,即R=h×tanθ。

此时,仍然利用数学积分知识,可以计算出圆锥体的体积公式为:

从物理思维的角度来分析这个问题,则可以把圆锥体看成用直角三角形旋转形成的旋转体,则体积等于直角三角形重心走过的距离乘以直角三角形的面积。如下图,以R和h所在直线为x、y轴建立直角坐标系,则重心的坐标点为(R/3,h/3)。

重心所走距离是半径为R/3的圆的周长,即为s=C=2π×(R/3),在乘以直角三角形的面积(hr/2)即为圆锥体的体积。

以上就是我们对于一些规则物体体积的计算公式介绍,那么对于一些形状不规则的物体,我们该怎么样知道它们的体积大小呢?这就需要我们借助器材来进行测量啦。下面我们就来详细介绍一下测量体积的工具——量筒和量杯。

虽然量筒和量杯都是测量体积的工具,但是从实物上我们就非常容易看出两者的区别。从形状上来看:量筒是粗细均匀,而量杯是上粗下细;从刻度上来看:量筒的刻度均匀,量杯的刻度上密下疏。从用途上来看:量杯适合粗略测量体积大的物体,量筒适合测量体积小的物体。

为什么量筒和量杯的刻度线不同呢?我们先从它们测量体积的原理说起。其实这里面利用了等效替代法,固体(不吸水)沉入液体中会排出与固体体积相同的液体。因此将固体放入盛有适量水的量筒(量杯)中,固体自身体积会占据原来量筒(量杯)中水的体积,那么这部分水自然会沿着内壁上升。导致水的体积增加的表面现象,其实增加的体积就是固体的体积。
正因为量筒的形状粗细均匀,因此其刻度也是均匀的,相同的体积就会有相同的高度;而量杯的形状是上粗下细,因此刻度也是上密下疏的,相同的体积,因为下面细因此升高的高度大,而上面粗因此升高的高度小。

如图,同样是V=10ml,根据公式V=Sh,则h=V/S,越往上,底面积越大,则同样体积对应的高度就越来越小,因此就呈现为刻度线上密下疏了。也正是因为这个原因,用量杯测量体积较大的物体时,液面越往上升,液面的面积越大,读数误差也越大;而量筒无论测量物体的体积大小,读数误差基本是一样的。因此,在物理中,我们重点学习的是量筒的使用。
一、测液体体积
这个没有什么难度,将待测液体沿内壁缓慢倒入量筒中,然后将量筒放在水平桌面上,进行读数。

需要大家注意的是,量筒中液体的液面并不是水平的。液体可分为两种,一种叫做浸润液体,一种是不浸润液体。
浸润液体能跟容器壁很好地吸附,像水和酒精就是浸润液体,因为吸附好,所以液体与容器接触面总是比中间液面要高,我们看到的液面就是凹液面了。对于凹液面,读数时,视线应与凹液面最低处齐平。

不浸润液体,如水银(汞液),基本不会吸附在容器壁,它在容器中存在形式取决于其受力,由于表面张力使得其中间高,周围低,就是我们看到的凸液面。对于凸液面,在读数时,视线应于凸液面最高处齐平。

读数时,视线应也液面齐平,如果俯视读数或者仰视读数就会带来读数误差。原理咱们讲解一下,如下图,很明显可以看出,如果读数时是仰视读数,那么读取的体积与真实值相比偏小,如果读数时是俯视读数,那么读取的体积与真实值相比偏大。

二、测固体体积
1、下沉的固体
方法:排水法
步骤:
(1)现在量筒中倒入适量的水,读出水的体积为V₁
(2)用细线拴好固体,慢慢浸没在量筒里的水中,读出水和固体的总体积为V₂
(3)固体的体积为V=V₂-V₁

在这里,适量的水的含义是指:以待测体积的物体放入量筒后能完全浸没,且量筒中的水上升的高度不超过量筒的最大刻度值为准。一般是加到量筒量程的一半左右。
2、漂浮的固体
方法一:沉坠法
步骤:
(1)用细线拴好铁块(重物),放入盛有适量水的量筒中,记下读数V₁
(2)再将被测固体和铁块(重物)拴在一起,放入量筒中,记下读数V₂
(3)被测固体体积V=V₂-V₁

方法二:针压法
步骤:
(1)在量筒内倒入适量的水,读出水的体积V₁
(2)用一根细长针刺入被测固体,将被测固体压入量筒里的水中,读出水和待测物体的总体积为V₂
(3)被测固体体积V=V₂-V₁

3、较大的固体
方法:排水法(溢水杯)
步骤:
(1)在溢水杯中装满水
(2)把固体浸没在水中,同时,用另一容器(也可直接用量筒)承接溢出的水
(3)将溢出的水倒入量筒中读数,记为V
(4)固体的体积即为V

4、溶于水的固体
用细沙代替水进行测量
总结
以上就是对规则物体体积的计算和不规则物体体积的测量方法,从本文可以看出,数学和物理的联系是非常普遍的,数学对物理的学习帮助也非常大,希望大家能够重视数学在物理上的应用。最后希望本文能够对大家有所帮助。