考生、家长们请注意!
2018河北高考一分一档表已正式出炉!
此外,我们还为您汇总了录取控制分数线、
填报志愿注意事项等……
一起来看↓↓↓

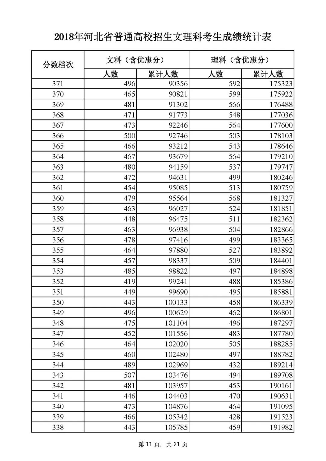
2018年河北普通高校招生文理科
一分一档表

上下滑动查看更多
石家庄二中校本部孙浩宁同学以734分
取得2018年高考河北省理科第一名

(数学150,英语148,语文140,理综296)
精英中学郭家萌同学以707分
取得2018年高考河北省文科第一名

(语文135,数学145,英语147,文综280)
2018年河北省普通高校招生各批各类录取控制分数线
一、文史、理工类
|
科类 |
本科一批 |
本科二批 |
专科批 |
|
文史 |
559 |
441 |
200 |
|
理工 |
511 |
358 |
200 |
高水平运动队考生高考文化成绩控制分数线:文史441分,理工358分;对于少数体育专项测试成绩特别突出的高水平运动队考生,文化成绩控制分数线:文史286分,理工232分。
二、艺术统考类
|
科类 |
本科提前批A、B 本科二批 (文化/专业) |
专科提前批 (文化/专业) |
|
声乐统考 |
266/130 |
140/115 |
|
器乐统考 |
266/115 |
140/110 |
|
舞蹈统考 |
266/120 |
140/100 |
|
美术统考 |
266/180 |
140/160 |
三、艺术校考类
1、按教育部规定,部分独立设置的艺术院校和参照执行的院校(或专业)艺术类本科专业,文化、专业录取控制线由学校自行确定,我省统考涉及到的专业,还需要我省相应类别专业统考合格。其艺术类专科专业:我省统考涉及的,文化、专业录取控制线按我省相应统考类执行;我省统考未涉及的,文化控制线为140分,专业控制线由院校确定。
2、其他院校
|
科类 |
本科提前批A (文化/专业) |
本科二批 (文化/专业) |
专科提前批 (文化/专业) |
|
声乐校考 |
266/115 |
———— |
———— |
|
器乐校考 |
266/110 |
———— |
———— |
|
舞蹈校考 |
266/100 |
———— |
———— |
|
美术校考 |
266/180 |
———— |
———— |
|
统考未涉及的校考 |
266/— |
266/— |
140/— |
注:以上专业分为我省相应科类专业统考合格线
四、体育类
|
科类 |
本科提前批A、B 本科二批 (文化/专业) |
专科提前批 (文化/专业) |
|
|
体育 |
文 |
275/275 |
140/240 |
|
理 |
210/275 |
140/240 |
|
五、对口各类

高考填报志愿即将开始!
我们特别整顿了
近五年河北高招各批次录取控制分数线
以及填报志愿时间表
为广大考生填报志愿提供参考
▼▼▼
近5年河北省普通高考录取控制分数线
2017年
本科一批:文史517分理工485分
本科二批:文史395分理工326分
专 科:文史200分理工200分
2016年
本科一批:文史535分理工525分
本科二批:文史416分理工364分
专科:文史200分理工200分
2015年
本科一批:文史548分理工544分
本科二批:文史496分理工474分
本科三批:文史404分理工335分
专科:文史200分理工200分
2014年
本科一批:文史563分理工573分
本科二批:文史513分理工503分
本科三批:文史415分理工326分
专科:文史200分理工200分
2013年
本科一批:文史561分理工538分
本科二批:文史511分理工478分
本科三批:文史414分理工324分
专科:文史180分理工180分
2018年我省填报志愿时间安排

2018年高考填报志愿攻略
志愿选择的成功及好坏与否
将直接影响到考生未来人生方向
其重要程度不言而喻
在正式填报志愿之前
考生及家长一定明确要相关问题并做好准备工作
如何为志愿填报做好充分的准备工作?
一是搜集院校资料,了解招生政策,熟悉有关规定,了解院校招生章程;
二是查询有关院校、专业近几年在各批录取分数和录取考生的位次情况;
三是了解今年在本省市招生的学校、专业、人数;
四是了解自己平时成绩、模拟成绩在全省、市的位次;
五是了解本人体检结果,避开限报的学校、专业。
如何减少志愿填报的撞车现象?
一是考生应量体裁衣,根据自己高考成绩(或平时成绩、模拟成绩)的位次,对照往年各学校专业录取分数情况、位次情况;
二是注意填报时留有余地;注意体检结果,避开限报专业;
三是特别注意有的学校招生“大小年”现象,详细分析近年录取资料;
四是注意预报志愿后,考区、中学反馈的信息,如果出现扎堆现象,需要调整所报志愿。
如何避免高分低录甚至落榜?
应坚持以下原则:1、实事求是,找准自己的位置;2、所填志愿拉开档次;3、冷门与热门学校专业相结合;4、省内与省外院校相结合;5、避开体检结果所限学校、专业;6、各批次学校志愿、专业志愿填满,尽量服从专业调剂。
同意调剂专业是什么含义?是否会被调到该校未在本省投放计划的专业?
由于考生填报专业志愿不均衡,专业录取生源冷热不均,有的专业出现计划空额,有的专业考生爆满。高校为完成国家招生计划,需要将志愿专业落选考生调拨到招生不满的专业。所以填报志愿时设计了“服从专业调剂”栏,由考生选择。
当所报专业(从第一个专业到最后一个专业)都无法录取时,考虑考生是否“服从专业调剂”。如果“服从专业调剂”,意味着该院校在本省该批招生的任何专业都可被录取,但不会被调到该校未在本省投放计划的专业。此时,如果还有专业可以调剂,则调剂到该专业录取,如果所有专业都已录满,则退档。如果不服从调剂的话,当所报专业都无法录取时,直接退档。
什么是学校分数级差?什么是专业分数级差?
学校志愿分级差是指录取非第一院校志愿考生时的分数差额。例如:某高校规定的志愿级差为20分,第一志愿调档分数线为600分,那么,第二志愿的调档分数线就为620分。第一志愿生源充足而且规定了志愿级差的院校,省招办按投档比例投完第一志愿考生档案,再按院校提出的志愿级差将第二志愿且分数在级差之上的考生档案投放给学校,由学校审核录取。在实行平行志愿投档模式的批次,不存在学校分数级差。
部分高校在分配专业时规定了专业级差,专业级差是指录取非第一专业考生时的分数差额。例如:某一学校规定专业级差为3分,学校在分配专业时,将第二专业志愿的考生成绩减去3分后,和第一专业志愿的考生一起排序确定专业。没有规定专业级差的学校,在分配专业时,有的采取专业志愿优先的原则,即首先满足第一专业志愿考生;有的采用分数优先的原则,优先录取分数高的考生。
什么叫“只招有专业志愿考生”?
“只招有专业志愿考生”是指学校某一专业只招收填报本专业志愿的考生,不招收未填该专业志愿的。即使考生“服从专业调剂”,也不会被调剂到这些专业。
何谓征集志愿?填报时注意什么?
征集(征询)志愿是指在每一批次录取结束之后,省级招办将录取未满额的院校和余缺计划数向社会进行公布,供尚未被录取并达到分数要求的考生进行选报。征集志愿填报须注意以下五点:
1.达到分数要求且未被录取的考生才能填报;
2.考生要注意及时了解省级高招办公布尚未完成招生计划院校的余缺信息,必须在规定的时间内完成填报,逾期则不能再填报;
3.参加征集志愿填报的考生按规定选报院校志愿;
4.考生选报征集志愿时要考虑避免再次出现“扎堆”落选的问题;
5.考生要谨慎选择,如考虑所报院校剩余的专业自己能否接受,一旦被录取就不能退档调换。
考生如何避免被退档?
高校退档的主要理由:总分偏低;单科成绩低;身体条件受限;专业不服从调剂等。
为避免退档,应注意以下几点:
一是了解院校信息,特别是招生章程、近几年招生录取分数情况;
二是量力而行,切忌好高骛远,选报志愿留有余地,参考各校专业录取的平均分、位次。
三是严格对照《普通高等学校招生体检工作指导意见》相关条款,选报志愿要避开不予录取的专业。
四是选择专业面要宽,尽量服从专业调剂。

以上几点对志愿填报至关重要
考生一定要慎之又慎
最后
祝各位考生都能进入自己心仪的大学!
石家庄发布(shijiazhuangfabu)
来源丨河北省教育考试院等
责编|陈知

往期精彩回忆