数学是一种美妙而优雅的东西,它隐藏在我们生活的方方面面,却又难以察觉,而这需要一双慧眼才能看到。2013年,科普作家伊恩·斯图尔特 (Ian Stewart) 就专门出了一本书,名叫《17 Equations That Changed The World (改变世界的17个方程)》。帮我们更多的了解它们。现在我们将其列举出来,看看你都掌握着哪些呢?
1.勾股定理

这一定理是我们理解几何学的基础。它描述了平面中直角三角形几条边的关系:两条短边a和b,它们的平方相加等于长边c的平方。在某种程度上,这一方程将我们通常的欧几里得几何与曲面的非欧几里得几何区分开来。比如,一个画在球体表明的直角三角形并不遵循勾股定理。工程技术人员用勾股定理比较多,比如农村房屋的屋顶构造,就可以用勾股定理来计算,设计工程图纸也要用到勾股定理,在求与圆、三角形有关的数据时,多数可以用勾股定理。物理上也有广泛应用,例如求几个力,或者物体的合速度,运动方向古代也是大多应用于工程,例如修建房屋、修井、造车等等。
2.对数方程

对数方程可以理解为指数方程的反向公式。它旨在求一个底数的多少次方可以得到给定的量。比如,以10为底1的对数表示为lg(1)=0,因为这里1 = 10º;lg(10) = 1,因为10 = 10¹;很自然地,lg(100) = 2。图中公式lg(ab) = lg(a) + lg(b)展示了对数方程最有用的一个功能:将乘法转化为加法。在现代数字计算机普遍应用之前,这一直是快速计算大数乘法的便利手段,在物理学、天文学和工程学计算中起到了重要作用。
3.微积分

图中公式为微积分中导数的定义。导数可理解为一个数量的变化率。比如,我们可以把速度看作是位移的导数。如果我们步行的速度是每小时4公里,那么每个小时,我们的位移变化为4公里。实际上,很多研究都着眼于事物是如何变化的。而导数与积分 (微积分的另一个重要公式) 是数学家与科学家们理解变化的根本工具。
4.万有引力定律

牛顿的万有引力定律描述了两个物体间的引力作用F。其中G为万有引力常数,m1和m2表示两个物体的质量,r为物体间距离。在科学史上,牛顿的这一笔有着举足轻重的地位。它不仅解释了地球上的重力作用,还几乎完美地诠释了行星的运行方式。这已经扩展到了太阳系,甚至整个宇宙。牛顿的万有引力定律作为经典引领了物理学200余年,直到爱因斯坦的广义相对论出现才被替代。
5.复数

数学家们一直在对数字进行细分,自然数、负数、小数、实数……后来,出现了虚数单位i,它表示-1的平方根。人们这才开始知道复数。从数学上讲,复数是极为优雅的。这种代数结构漂亮地解决了我们的需求——任何方程都具有复数解。这对实数来说当然是不可能的,比如x2+ 4=0这种东西。微积分也被扩展到复数当中,我们借此发现了这些数字的奇妙特质,比如对称性。这些属性是电子学和信号处理的重要基础。
6.欧拉多面体定理

多面体是多边形的三维版本,如同立方体之于正方形。多面体的每个角叫做顶点,顶点的连线称为棱,棱所形成的多边形是面。一个立方体拥有8个顶点,12条棱和6个面。我们算一下,顶点数加上面数,再减去棱数,8+6-12=2。欧拉的多面体定理告诉我们,只要给定一个常规的多面体,那么顶点数加面数再减去棱数,结果一定是2。无论它有多少个面。这一发现是我们后来称之为拓扑不变量的第一条内容。在拓扑不变量中,同类型物体的一些属性和数量是彼此相似的。对于所有“常规的”多面体来说,V+F-E=2。这一定理以及欧拉对“柯尼斯堡七桥问题”的解答奠定了拓扑学的基础。这个数学的分支对近代物理学有着重要意义。
7.正态分布


正态概率分布图近似于钟形曲线,在统计学中应用甚广。物理学、生物学和社会学都广泛采用正态曲线作为不同研究对象的模型。其应用如此广泛的主要原因在于它可以描述大量独立过程的行为表现。
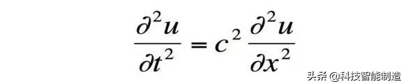
8.波动方程

波动方程描述了波的行为,比如吉他琴弦的振动,石子掷入湖水后的涟漪,或者白炽灯泡的灯光。波动方程是双曲形偏微分方程的最典型代表,随着技术发展,解决这一方程也为人们理解其他微分方程打开了一扇门。
9.傅里叶变换

傅里叶变换是一种理解复杂波形的方法,比如人类演讲的波形。像人说话这样复杂混乱的声波函数,通过傅里叶变换,可以被拆分为若干个简单波形的组合。这大大简化了分析过程。傅里叶变换可以称为现代信号处理、分析以及数据压缩的核心。
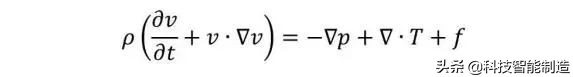
10.纳维-斯托克斯方程

像波动方程一样,这是一个微分方程。纳维-斯托克斯方程表述了流体的行为,比如水流过管道,气流掠过机翼,或者雪茄上在冒烟。目前人们可以得到方程的近似解,并能够通过计算机很好地模拟流体运动。不过,能否在数学上获得纳维-斯托克斯方程的精确解仍然是一个未解决的问题。
11.麦克斯韦方程组

这组偏微分方程描述了电场 (E) 和磁场 (H) 之间的行为与关系。麦克斯韦方程组对于经典电磁学的意义就像牛顿的运动定律和万有引力定律对于经典力学一样重要。它们是理解我们日常生活中电磁现象的基础。不过我们知道,现代物理学里对电磁学已经有了量子力学层面的解释。这些优美的公式在宏观世界里虽然非常适用,但这只是一种近似表达。
12.热力学第二定律

该定律可表述为,在一个封闭系统内,熵 (S) 总是稳定或者增长的。粗略地讲,热力学中的熵是对系统混乱程度的度量。一个系统初始是有序的,假如一块高温区域挨着一块低温区,那么非均匀状态将趋向变为均匀状态,即热量会从高温区流向低温区,直到分布均匀。热力学第二定律是物理学中少有的与时间相关的定律。大多数物理过程都是可逆的,我们大可以把方程倒转过来,不会有什么影响。然而热力学第二定律只能按照一个方向进行。如果我们把一个冰块放进热咖啡中,我们将只能看到冰块融化,从来不会看到咖啡冻结。
13.相对论


爱因斯坦凭借他的狭义相对论和广义相对论彻底地改变了物理学进程。这一经典的方程表明质量与能量是等同的。狭义相对论告诉人们宇宙中的速度极限是光速,而以不同速度运动的物体所经历的时间也是不同的。广义相对论则把引力看作是卷曲折叠的时空本身。这是自牛顿的万有引力定律以来我们对引力认识的第一次重大改变。广义相对论是我们理解宇宙起源、宇宙结构以及最终命运的基础。
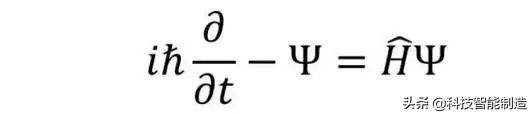
14.薛定谔方程

这是量子力学中的主要方程。广义相对论在宏观上解释了我们的宇宙,这个方程则在微观上主宰了原子与亚原子粒子的行为。量子力学和广义相对论是历史上最为卓越的两大理论。目前所有实验观测到的现象都与这两大理论相一致。量子力学也是众多现代科技的根本,比如核能、半导体计算机以及激光等等。
15.信息论

这一方程即香农信息熵。与上述热力学熵类似,这也是对混乱程度的测量。它测量一切可以表达的信息内容,比如一本书,一张互联网上的JPEG图片等等。香农信息熵给出了我们可对信息进行无损压缩的程度下限。这一理论引发了对信息学的数学研究,它是我们今天网络交流的基础。
16.混沌理论

这一公式即生物学家Robert May的单峰映射。它最初描述的是随着时间的演进,种群数量将由X变为Xt+1。给定常量k,那么前景图将是混乱的:以X为起始值,演进过程是一种方式;但以另一个量为起始值,演进过程将完全是另一种样子,哪怕这个量与X非常接近。如我们所见,混沌行为对于初始条件非常敏感。天气变化就是个经典的例子——今天大气层条件的微小变化将导致几天后气象系统的截然不同,这也可以理解为我们常说的蝴蝶效应。
17. 布莱克-斯科尔斯公式

作为另一个微分方程,布莱克-斯科尔斯公式描述了金融专家和交易人如何为金融衍生品定价。诸如股票之类的金融衍生产品是现代金融系统的重要组成部分。基于基础资产和衍生品的属性,布莱克-斯科尔斯公式可以帮助人们计算这些金融产品的价值。
这些方程,不仅能够帮助人们解决知识上的问题,同时,从某种角度来看,它们本身也是非常美丽的。许多科学家都曾坦承,自己非常喜欢某些方程式,并不仅仅因其功能,更在于它们所表现出的那种简约而不简单、形式如诗句般优雅的美感。这些方程式逐渐的影响着世界文明进程的变化发展。
在中国传统的教育家中有一位叫刘薰宇的人,曾在暨南大学、同济大学、西南联大任教,还当过人民教育出版社任副总编辑,而刘薰宇与普通教育者最大的不同就是他会讲故事,比如他讲的这个故事。

著名教育家刘薰宇
某个书生娶了一个富家千金,经常被老婆训。后来这个书生中了状元当了官,但他的老婆还是经常训他。他就跟他老婆说,我现在当了官,你怎么还训我。他的老婆机智的回答到:“亏你还是状元,连水涨船高的道理都不懂。你看,如果男人是当官的,生下来的女儿就是千金小姐,男人要是挑大粪的,生下来的女儿就是丫头。等她嫁人后,如果嫁的男人是大官,她就变成了官太太,如果嫁的是农户,那么她就变成了一个农妇。这就是数学上的函数,男人是x,女人是y,y总随x改变。
一个故事把函数讲得生动有趣,这样的例子在他的书中比比皆是。他一生论著颇丰,深受人们喜爱,很多人正是读了他的书才喜欢上了数学,其中就有我国著名物理学家杨振宁。
杨振宁在一次讲学中说道,他在很小的时候,偶尔接触到了一位叫刘薰宇写的书,看了后他爱不释手,书非常有趣,通俗易懂,看了他写的一个智力测验的文章,我才知道什么是奇偶排列。

著名物理学家杨振宁
我国著名数学家齐民友也非常崇拜刘薰宇,他说他初一时学数学,那时的数学非常难,有很多的四则应用题,后来他看了刘薰宇的作品后,用他书中教得方法做题,非常容易,受到了老师的表扬,从此以后,才逐渐增加了对数学的兴趣。
我国著名的画家丰子恺也很喜欢数学,但他就没有那么幸运了,他直到中年后才接触到的刘薰宇的著作,他说刘薰宇写一篇,我就读一篇,他的文章非常有诱惑力,而诱惑我的就是他里面讲得故事,如果我能早点接触到刘薰宇的作品,我小时候绝对不会忽视这样一门非常有用的基础学科,为此,他懊悔不已。后来,他还专门为刘薰宇的著作写了一个序。

他的著作主要集中在三本书《马先生谈算学》《数学趣味》《数学的园地》,这三本书都非常的有趣,非常适合五、六年级的小学生和中学生来读。很多学生读了后都会爱不释手,甚至像读小说一样读得津津有味,把数学书语文化,在学语文中读懂数学,这就是这套书最大的魅力。
全套书一共三册,*今条头日**团购价仅为69元,点击下面的购物卡即可购买:
刘薰宇数学【一套三本 】
¥69
购买