二次根式是中考必考内容,涉及的考点较多,为帮助同学们掌握此类问题的解题方法,现归纳相关题型,为同学们助力中考。
考点一:二次根式的定义
例1:下列式子一定是二次根式的是( )

做题思路:紧扣二次根式定义,抓住其被开方数大于等于0是解题的关键。


考点二:二次根式有意义的条件

解析:二次根式有意义的条件是被开方数大于等干0,则x-3≥0,解得x≥3.只有D符合题意。故选D。
点评:二次根式有意义的条件是被开方数大于等于0,若分母中含有字母,还要兼顾分母不为0。
考点三:二次根式的性质

考点四:最简二次根式与同类二次根式

点评:一个二次根式为最简二次根式,必须同时满足下列三个条件:
(1)被开方数的因数是整数,因式是整式;
(2)被开方数中不能含有能开得尽方的因式;
(3)被开方数不含分母。

点评:确定几个二次根式是否为同类二次根式,首先要把这几个二次根式化为最简二次根式,然后看它们的被开方数是否相同,如果被开方数相同就是同类二次根式,否则不是。
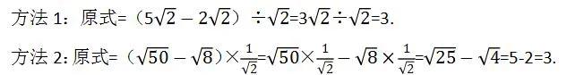
考点五:二次根式的运算

解析:本题有两种解法一种是先进行括号内的二次根式的加减法运算,再进行乘除运算:另一种是先把除法转化为乘法,再应用乘法分配律进行计算。

点评:进行二次根式的混合运算,首先确定其运算顺序,其次灵活运用运算法则进行运算,最后要注意结果应化成最简形式。
学习完,很辛苦,吃顿烧烤犒劳一下自己吧[思考]
