
证明为整数,似乎需要证明a²+b²+c²为a+b+c的整数倍,来试试:(a+b+c)²=a²+b²+c²+2ab+2bc+2ac
这个放到被证明的式子的分母后,得到了(-2ab-2bc-2ac)/(a+b+c)+a+b+c,,,,①
根据题目,a+b+c的结果为整数很显然,好像简化了不少,可是还是留着一个分式,似乎找不到简化它的路了。
这时候要再看看题目中还有什么条件。给了一个含有无理数3^0.5的分式,并告诉我们它的结果为有理数,这个条件有什么意义?能不能挖出点有价值的东西?
,
有理数是一个整数a和一个正整数b的比,有理数是整数和分数的集合,整数也可看做是分母为一的分数。有理数的小数部分是有限或为无限循环的数。
不是有理数的实数称为无理数,即无理数的小数部分是无限不循环的数。
概念就是这么简单,不过宝宝们最讨厌概念了:数学搞这么多新名词有啥意思,跟文科似的。
这两个概念需要你思考斟酌一下,你会发现,无理数有理数在计算和等式中的意义在于:无理数与有理数的加减乘除(不包括0)的结果,都是无理数。
无理数加有理数,你想想有部分消掉那无穷无尽的无限不循环小数的部分么?
减,同理,乘,除非零整数同理,也无法消除无理数的存在。
这也就是无理数最为“不讲道理”的地方,当然,在合适的时候,这种“不讲道理”可以为我们解题提供很讲道理的充分条件,让题目顿时变的简单。
那我们来看最开始的题目,那个含有无理数3^0.5的分式,把它分母按照平方差去根号,有:
(3^0.5+b)(3^0.5b-c)/(3b^0.5-c^2),这里分母又是整数,那么就来看分子了
分子整顿一下变成3ab-bc+3^0.5(b^2-ac)
如果要分子为有理数,括号中的几个元素已经无路可走了:b^2-ac的结果一定是整数,那么怎么把3^0.5这个无理数干掉呢。因为这个转化后的分式的所有其它部分都变成整数了,要让整体的结果是有理数,只能让b^2-ac的结果为0,消灭掉3^5,这就是题目中挖掘出来的新条件:b^2=ac
把这个条件放入最开始整顿的①式中,有:(-2ab-2bc-2b^2)/(a+b+c)+a+b+c=-2b(a+b+c)/(a+b+c)+a+b+c=a-b+c,这显然是整数,证明结束。
,
类似这种利用数的性质或方程式或算式的性质(通常是不言而喻的性质,不会在题目*特中**意作为已知条件罗列叙述出来)挖掘条件方式的,还有其它的形式,比如:

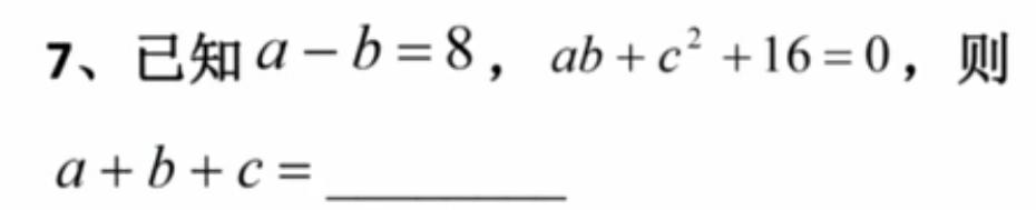
表面上看,三元二次方程,仅仅给了两个等式,条件不够无法求解啊。
发扬上面一题的精神:没事走两步,说不定就柳暗花明了。
根据题目a=b+8,代入那个含有二次项的等式内,有(b+8)b+c^2+16=0
整顿后有:(b+4)^2+c^2=0
什么情况下平方和为0,当且仅当相加的两个一级项都是0!
这不,等同于多挖了一个式子出来,表面上只给了2个式子的三元二次方程,a,b,c的值都清清楚楚的解出来了。