不管是买房、买车、装修、做生意,大家或多或少的都会选择*款贷**,而申请*款贷**的最佳渠道,当然是银行了!
众所周知,银行的年利率是4.35%到18%左右!也就是说月息在3.625厘到1分5左右!听到这里会不会觉得很吓人?银行的利息要一分五??
而且,银行的基准利率月息都要3.625厘了,那平时跟大家说的月息2.8厘的装修贷、精英贷、创业贷等等又是怎么回事儿呢?这里就又要涉及到还款方式和银行的小"套路"了!
银行的还款方式一般分为先息后本、等额本息、等额本金、等本等息!
1.先息后本(年利率)=月息*12
举个例子:申请一笔*款贷**年息率为6%,额度10万元,那么一年利息是6000元,每个月利息500元!
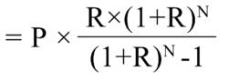
2.等额本息(年利率)

看到这里会不会一脸懵逼??
P:*款贷**本金
R:月利率
N:还款期数
附:月利率 = 年利率/12
下面举例说明等额本息还款法,
假定借款人从银行获得一笔20万元的个人住房*款贷**,*款贷**期限20年,*款贷**年利率4.2%,每月还本付息。按照上述公式计算,每月应偿还本息和为1233.14元。
上述结果只给出了每月应付的本息和,因此需要对这个本息和进行分解。仍以上例为基础,一个月为一期,第一期*款贷**余额20万元,应支付利息700元(200000×4.2%/12),支付本金533.14元,仍欠银行*款贷**199466.86元;第二期应支付利息(199466.86×4.2%/12)元。
20年共计还款29.6万元,其中利息为9.6万元!如果这里你除以240个月(20年共240个月),每个月付利息400元!相当于月息2厘!
其实上边的计算方面是不科学的,但是为什么还要列出来?就是因为我们普通人没有这么多的专业知识,正常情况下,*款贷**的客户只关心总共*款贷**多少钱,贷了几年,几年下来总共付了多少利息,然后他们就按照上边的方式除了一下!却忽略了还款方式!
比如某商业银行的一个工薪贷,五年期等额本息,年利率18%,却对外宣称月息8.72厘!是怎么算出来的呢?如图

计算方式
五年下来,共计付息52,360.56元,除以60个月(五年有60个月,这你不会不知道吧?)每个月的利息是872.676元,因为*款贷**金额是10万元,所以月息相当于8.72厘!
但是,你实际上是按的月息1分5的利息来还的!
很多银行里的信贷经理都是有放款任务的,如果他直接跟你讲,你申请的*款贷**,按正确的算法,利息要在1分5左右,很多客户可能骂着街就走了!
而且,很多客户自己就用的这种算法来算自己的利率是否合算,银行的工作人员又没有太多的精力和时间,帮每个客户普及这些金融知识!不说破又能给自己多增加业绩!才有了这种小套路!
如果还有不懂的地方,欢迎在下方提出问题!我们下期会帮大家解答!