
三大神秘难题
就这样被解决了
在19世纪初,电现象,磁现象与光的本质是困扰物理科学家的三大神秘难题,他们也没发现这三者之间是否存在着联系。
就当大家一筹莫展之时,来自英国的物理学家麦克斯韦巧妙地通过方程式把它们联系在了一起,这也是著名的麦克斯韦方程式。
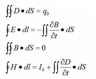
完美的归纳了电场,磁场,电荷密度,电流密度之间的方程关系。(磁场是由电流产生,电场是由变化的磁场引发,光也只不过是传播中的电磁波。)

麦克斯韦尔方程式
(H为磁场强度,D为电通量密度,E为电场强度,B为磁通密度)
同时麦克斯韦尔方程式,也启迪了爱迪生等发明家,人类进入电力时代,极大地改变了人们的生活,毕竟有了它,才有雷达、电视和现代通信。

校园*力暴**中长大的学霸

麦克斯韦于1831年出生于爱丁堡 ,从小他就表现出很强的求知欲,周围一切发光和移动的东西都能引起他的注意,并且还总是提出一些很奇怪的问题。
有一次,麦克斯韦的姨妈给他带了一篮苹果。他缠住姨妈问道:“为什么苹果是红的啊。”一时间,他的姨妈也被这问题难住,不知道怎么回答。
为了摆脱囧境,她只好让麦克斯韦吹泡泡玩。谁知道泡泡在阳光下呈现出五颜六色,这让麦克斯韦又惊又喜,提出了更多关于颜色的问题。

麦克斯韦的父亲是皇家学会的活跃分子,他见儿子对自然感兴趣,非常高兴,觉得他一定是个不可多得人才。
从那之后,他也经常带着儿子去听爱丁堡皇家学会的科学讲座,麦克斯韦也受到不少熏陶。
但麦克斯韦童年的快乐也是短暂的。他八岁那年,母亲因肺结核不幸去世。这让他的性情也慢慢的变得孤僻,内向。
10岁的时候,他进入了爱丁堡中学。由于一直在父亲的庄园里生活,他讲话有很重的乡土音。第一天上课就受到了全班的同学的嘲笑。加上开学第一天,他穿着父亲自制的鞋子和束腰外衣来到学校,他受到了不少同学的嘲讽,同学们还给他取了一个叫不友好的绰号“Daftie”(愚蠢的人)。
但麦克斯韦可从没有理会过这些嘲笑,必要的时候他也会用拳头保护自己。渐渐的同学们也发现他并不好欺负,便开始孤立他。
没人一起玩耍的麦克斯韦就每天一个人在座位上专心致志地演算父亲给他出的数学题,在校园冷*力暴**中度过了中学的最初时光。
这不由得让超模君我想到了波杰克的一段话:

果然,在他13岁时,学校举行的数学和诗歌竞赛,他居然获得了学校的数学奖章和英语诗歌一等奖,这也狠狠打了那些曾经嘲笑他的人的脸。
14岁时,他写了第一篇科学论文。论文中他描述了用一根麻绳画数学曲线的机械方法,以及椭圆、笛卡尔椭圆和具有两个以上焦点的相关曲线的性质,论文还被提交给爱丁堡皇家学会的。
但由于麦克斯韦太年轻了,他并不能以本人身份展示自己的作品。

优秀的人从来不缺朋友
虽然麦克斯韦在中学时受到了大家的校园冷*力暴**,但在剑桥大学求学的日子里,他结交了许多志同道合的朋友,逐渐克服了少年时代的孤僻,慢慢活跃起来。还加入了一个“使徒社”。
这个“使徒社”可不是一般人能加入,这个团体实际上可以算是一个小小的“皇家学会”,必须是最出类拔萃的学生才有资格参加。
因为它的的名称是根据《圣经》取的,耶稣只有12个门徒,所以“使徒社”也只能由12个成员组成,而整个剑桥大学每届只能有12个学生属于这个团体。
即使上了大学,麦克斯韦也还保持着小时候的习惯,经常向社友们提出一些奇怪的问题,比如“死甲虫为什么不导电呢?”“活猫和活狗摩擦可以生电吗?”
但这也让社员们更加欣赏麦克斯韦,还把他看做他们中间独一无二的人,果然的看人方式就是不一般。

天赋和努力是成功的两大要素
16岁时,成绩优异的他考上了爱丁堡大学,虽然是班上年纪最小的学生,但他考试成绩却总是名列前茅。
爱丁堡大学存有着各种许多学术界大佬,其中有两个人对他影响最大。
一个是物理学家福布斯,一个是数学家哈密顿。

哈密顿
福布斯培养了他对实验的兴趣,哈密顿则用广博的学识影响着他,激励着他去研究基础问题。
在两位大神的影响下,加上麦克斯韦自己的天赋与努力,他三年就完成了四年的学业。
在这期间,他又为爱丁堡皇家学会学报贡献了两篇论文。但人们又再次认为他太年轻,不能站在讲台上亲自发表论文。(年轻也有错吗)

大学毕业后,麦克斯韦认为爱丁堡大学已经不能满他的求知欲,他需要更广阔的天空。
为了进一步深造,1850年,在征得了父亲的同意后,他离开爱丁堡,来到剑桥大学求学。师从著名的数学家霍普金斯。霍普金斯曾经说过:麦克斯韦是他教授过的最出色的学生之一。
他最初就读于彼得学院,但在那读了第一学期后,他决定转到三一学院。因为他发现在三一学院更容易获得奖学金。
当时剑桥大学还流行一种数学荣誉考试,它的内容广泛且难,包括力学,流体动力学,天文学,引力学以及几何光学和物理光学。虽然每个学生把考过它当做目标。
麦克斯韦认为:既然进入了剑桥大学,也当然得跟风考考嘛。1854年,麦克斯韦以第二名的成绩通过此荣誉学位考试。
值得一提的是,热力学第二定律的提出者开尔文勋爵和后来电子的发现者汤姆逊也都在数学荣誉考试中获得了第二名。

毕业从教,致力研究
毕业后,他留在剑桥大学做了两年老师。在老师的建议下,他又来到了苏格兰阿伯丁的马里沙耳任自然哲学教授,并且在那认识了他的妻子凯瑟琳。

1860年,玛利沙书院与邻近的国王书院合并,成立阿伯丁大学。尽管麦克斯韦尔在科学上享有盛名,但由于没有多的教授职位,他还是被解雇了。
最后,麦克斯韦来到了伦敦国王学院任职自然哲学系主任。在国王学院的那段时间可能是他职业生涯中最巅峰的一年。
那一年,他不仅因为色彩的研究而被授予皇家学会的拉姆福德奖章,还在1861年被选入皇家学会。
麦克斯韦早在1849年在爱丁堡的福布斯实验室就开始了色混合实验。麦克斯韦要就是在于观察一个快速旋转圆盘上的几个着色扇形所生成的颜色。
1865年后,他辞职退隐庄园养病。在这期间,他也把主要精力放在整顿与总结电磁场理论上。
1871年麦克斯韦再次受聘为剑桥大学新设立的卡文迪许试验物理学教授,负责筹建著名的卡文迪许实验室,建成后他还担任这个实验室的第一任主任。

1873年,麦克斯韦于年出版了科学名著《电磁理论》,系统、全面、完美地阐述了电磁场理论。这一理论成为经典物理学的重要支柱之一。
麦克斯韦在书中阐明了电磁理论,指出在计算决定电磁现象的真正电流的运动时,必须把电的位移考虑进去。他推断光是一种电磁现象,预测了光辐射压力的大小,并指出光辐射压的数值要比自牛顿时代以来所探求的值小得多。

可能是上天嫉妒麦克斯韦的才华,1879年11月5日,年仅48岁的他因腹部癌症去世。
他的一生,也告诉了我们一件事,年少的时候即使没有朋友,被人嘲讽,不被理解,这些都没有关系。
坚持你做喜欢的事,持续的成长,终有一天你会找到属于你的优秀群体,也许你还能像他一样,有杰出成就,留名百世。毕竟,亚里士多德说过,孤独的人,要么是野兽,要么是神灵。
