高考数列求和,除了等差数列和等比数列有求和公式外,大部分数列的求和都需要一定的技巧。本文主要是梳理了在高中数列题目中,有哪些常见的求和方法。
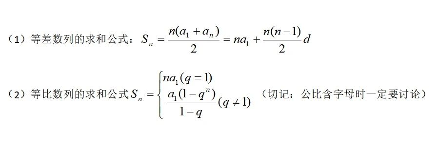
一、直接法:
等差、等比数列的求和方法直接套用公式即可。

二、公式法:

备注:公式法主要用于数列n、n2、n3的前n项和的求解过程中。
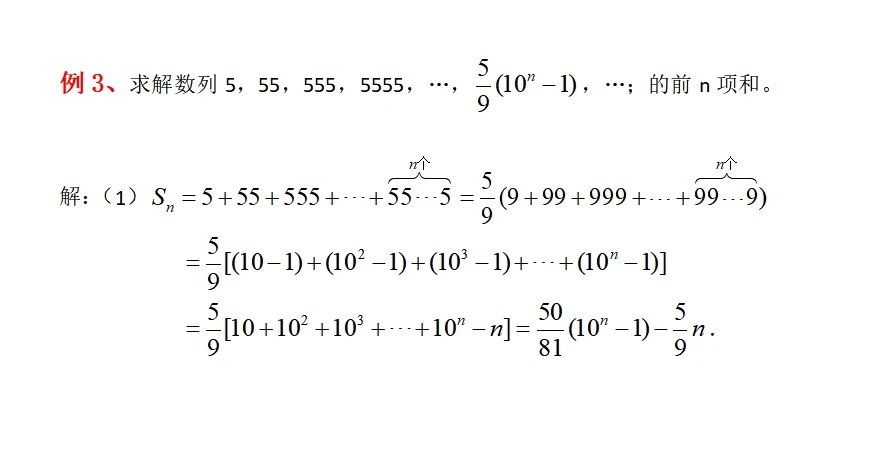
【例题详解】




三、错位相减法求和
关于错位相减法,在应用的时候,有以下三点注意事项:
(1)这种方法是在推导等比数列的前n项和公式时所使用的方法。
(2)设数列an的等比数列,数列bn是等差数列,则数列(an*bn)的前n项和Sn求解,均可用错位相减法。
(3)如果数列的通项是由一个等差数列的通项与一个等比数列的通项相乘构成,那么常选用错位相减法(这也是等比数列前n和公式的推导方法)。
【例题详解】



备注:在高考数学题目的很多运算过程中,在解答过程中,如果最后得出的答案是分式,且分母中含有未知数,那么要根据题干条件的设置来讨论分母是否为0的情况。这一步的讨论很关键。因为讨论的话,最终的答案可能有两个。如不进行讨论,那么有可能会丢分。




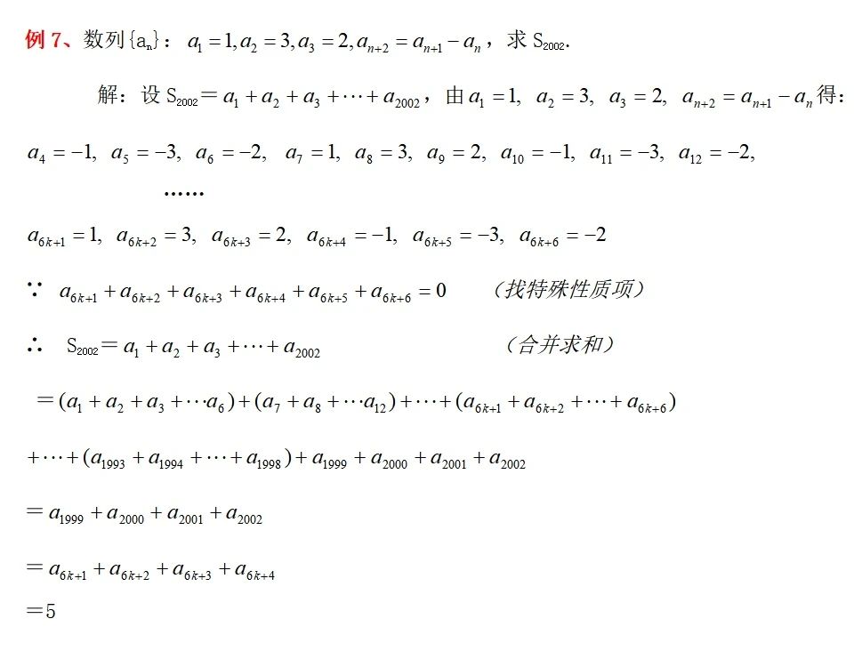
四、分组求和法
分组求和法的应用场景,通常是等差或等比数列的变型。这种类型的数列,既不是等差数列,也不是等比数列,若将这类数列适当拆开,可分为几个等差、等比或常见的数列,然后分别求和,再将其合并即可。
【例题详解】


总结:这道题目主要的解法思路是分组,然后分别求解自然数列n、自然数平方组成的数列n2、自然数立方组成的数列n3的和。









点评分析:分组求和即将不能直接求和的数列分解成若干个可以求和的数列,分别求和。在这道题目当中,数列的函数式中出现了(-1),那么就需要分两种情况进行讨论,即分偶数项和奇数项进行讨论。


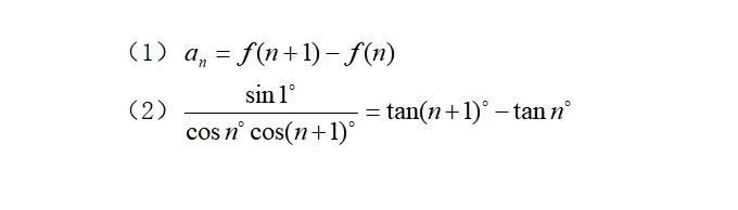
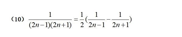
五、裂项法求和
裂项法求和是分解与组合思想在数列求和中的具体应用。实质是将数列中的每项(通项)分解,然后重新组合,使之能消去一些项,最终达到求和的目的。
1、通项分解(裂项)一般有以下形式:

可以思考如果分母是n(n+2)怎么来求解?不过重点是要学会这种裂项分解的思想和方法。
2、裂项法的本质是:裂项相消法:把数列的通项拆成两项之差、正负相消剩下首尾若干项。
如果数列的通项可“分裂成两项差”的形式,且相邻项分裂后相关联,那么常选用裂项相消法求和。因为相邻项分解后相关联,那么就可以把不必要的东西给互相消掉。
3、针对分式、三角函数、根号形式的数列,在具体的解答和化简过程中,一般可以用裂项法来进行解答。
4、常用裂项形式有:

(备注:涉及到三角函数数列的很多求解方法,大多数是用裂项来去解决的。在裂项的过程中,要对三角函数之间的公式转换很熟悉,这样才能够根据具体的函数式来去选择最优的那个三角公式。)


备注:在数列的题目中,有一些是需要和不等式的放缩联系起来,进行求解。在这里,要注意添加或减少一些小项来进行化简。

备注:当数列式子中出现根号时,首先就可以考虑是否可以用裂项法来求解。因为数列根号形式和裂项法简直太匹配了,两个就像一家人一样,非常好化简运算。

【例题详解】






备注:在这里,求解Sn的时候,一定要验证S1和a1是否相等。在求解数列的题目当中,很多人都会忘掉这一步的计算,因此在后续的做题当中,可以时常计算一下S1和a1的数值。形成习惯以后,就不会丢分。


如果分子不是1,是其他的数值如k,那么只需要在最后化简成k/d的形式就可以。同时,在具体计算的时候,每一步都要小心计算,以便保障最后的结果和标准答案一致。

总结分析:在这道题目当中,针对分式形式的数列,一般运用裂项法就可以解决。只不过在具体的化简过程中,需要观察和考虑分式数列的具体形式。比如说,在这一题中,分子上出现了(n+1)这个小项,那么在做题的时候,就需要想办法把分子上的小项(n+1)给化简掉。最终化简成比较简单的形式,然后再分成两个数列式子进行裂项即可。
六、倒序相加法求和
这是推导等差数列的前n项和公式时所用的方法,就是将一个数列倒过来排列(反序),再把它与原数列相加,那么中间的很多项在相加的过程中,会互相抵消掉,最后就可以得到n个(a1+an)。
【例题详解】

备注:排列组合形式的数列,经常可以用倒序相加法来求解和。

解题突破:把数列正着写和倒着写再相加(即等差数列求和公式的推导过程的推广)。
备注:三角函数形式的数列,在求解的时候,常用倒序相加法来求解和。只不过需要仔细判断需要运用到哪些类型的三角函数公式。只有用对了公式,在具体求解的时候,才非常轻松。


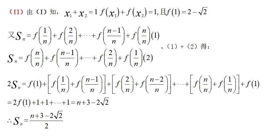
分析点评:这道题目比较经典。将函数、数列和向量几何放在了同一道题目当中进行解答,最关键的是,题目中的两个关键点,是x1+x2=1,f(x1)+f(x2)=1,这样一来,就把两个变量x的值和相对应的两个因变量巧妙的结合起来。后续运用倒序相加法,用两个变量(1/n)、(n-1/n)和与之对应的两个因变量f(1/n)、f(n-1/n)之间的关系,就可以直接得出f(1/n)+f(n-1/n)=1这个关键等式,显然题目得解。
备注:我分享的资料都是有情感的,我是一个有情感的高考资料分享者。你在看这些资料的时候,不要把这些资料看成是枯燥的知识点、枯燥的专业术语或符号。
当你觉得这些文字和符号都是具有情感的话,那么你就很容易记住一些重要的东西。
祝你取得理想的高考成绩!