高考答案甲卷理综化学真题 (全国甲卷高考理综化学试题)

1.化学与生活密切相关,下列有关说法错误的是

A. 中国古代使用明矾的溶液去除铜制品表面的锈蚀

B. PX项目的主要化工产品对二甲苯加人溴水中,溴水不会褪色

C. 在柴油车中添加尿素可以减少柴油车尾气中的氮氧化物污染

D. "纳米材料"是指粒子直径在几纳米到几十纳米之间的材料。如将"纳米材料"分散到液体分散剂中,有丁达尔现象

【答案】B

高考化学模拟试题汇编全国卷,高三理综化学大题第三题

【题型】选择题

【难度】一般

2.用下列实验装置进行有关实验,能达到实验目的的是

高考化学模拟试题汇编全国卷,高三理综化学大题第三题

A

高考化学模拟试题汇编全国卷,高三理综化学大题第三题

B

高考化学模拟试题汇编全国卷,高三理综化学大题第三题

C

高考化学模拟试题汇编全国卷,高三理综化学大题第三题

D

甲 乙 丙 丁

A. 用装置甲制取少量SO2

B. 用装置乙蒸发FeCl3溶液制取FeCl3晶体

C. 用装置丙分离CH3COOH和CH3COOCH2CH3的混合液

D. 用装置丁除去Cl2中混有的少量HCl气体

【答案】D

【解析】A.浓硫酸与铜反应需要加热,错误; B. 用装置乙蒸发FeCl3溶液时,氯化铁水解生成的氯化氢易挥发,促进水解,蒸干后得到氢氧化铁,错误;C. CH3COOH和CH3COOCH2CH3混溶,不能分液,错误;D. 除去Cl2中混有的少量HCl气体,可以选用饱和的食盐水,正确;故选D。

【题型】选择题

【难度】一般

3.设NA为阿伏加德罗常教,下列叔述正确的是( )

A. 常温常压下,9.2gNO2气体中.分子数为0.2NA

B. pH=2的硫酸溶液中,H+数目为0.01NA

C. 将0.05molFeCl3全部转化为Fe(OH)3胶体,则胶粒数目为0.05NA

D. 20gD2O中含有的质子数为10NA

【答案】D

高考化学模拟试题汇编全国卷,高三理综化学大题第三题

【题型】选择题

【难度】一般

4.下列说法正确的是

A. 乙烯和乙醇均能被酸性高锰酸钾溶液氧化

B. 甲烷和苯均可在光照的条件下与氯气发生取代反应

C. 分子式为C2H6O的有机物均可在一定条件下与乙酸发生酯化反应

D. 蛋白质、油脂、葡萄糖均可在一定条件下发生水解反应

【答案】A

【解析】乙烯被酸性高锰酸钾溶液氧化为二氧化碳;乙醇能被酸性高锰酸钾溶液氧化为乙醛,故A正确;苯均在光照的条件下与氯气不能发生取代反应,故B错误;分子式为C2H6O的有机物可能是甲醚,甲醚不能与乙酸发生酯化反应,故C错误;葡萄糖不能发生水解反应,故D错误。

【题型】选择题

【难度】一般

5.X、Y、Z、R、W是原子序数递增的五种短周期主族元素,周期数之和为11,其中Y元素最高化合价与最低化合价代数和为2, Z和R可形成R2Z和R2Z2型化合物,R是五种元素中原子半径最大的,Z和W是同族元素,下列说法错误的是

A. 简单离子半径人小顺序为:W>Z>R

B. X2Z2的电子式为:

高考化学模拟试题汇编全国卷,高三理综化学大题第三题

C. X2Z的沸点比X2W的沸点高

D. Y元素最高价氧化物的水化物浓溶液可以用铝制容器盛装

【答案】B

高考化学模拟试题汇编全国卷,高三理综化学大题第三题

【题型】选择题

【难度】一般

6.如图是一种锂钒氧化物热电池装置,电池总反应为xLi+LiV3O8=Li1+xV3O8。工作时,需先引发铁和氯酸钾反应使共晶体熔化,下列说法不正确的是

高考化学模拟试题汇编全国卷,高三理综化学大题第三题

A. 组装该电池应当在无水、无氧的条件下进行

B. 整个过程的能量转化涉及化学能转化为热能和电能

C. 放电时LiV3O8电极反应为:xLi++LiV3O8-xe-=Li1+xV3O8

D. 充电时Cl‾移向LiV3O8电极

【答案】C

【解析】A、Li是活泼的金属,因此组装该电池应当在无水、无氧的条件下进行,A正确;B、整个过程的能量转化涉及化学能转化为电能以及化学能和热能之间的转化,B正确;C、放电时正极发生得电子的还原反应,即正极反应式为xLi++LiV3O8+xe-=Li1+xV3O8,C错误;D、放电时Cl‾移向负极,移向锂电极,因此充电时Cl‾移向LiV3O8电极,D正确,答案选C。

【题型】选择题

【难度】一般

7.室温下,浓度均为0.1mol·L-1、体积均为Vo的HA、HB溶液,分别加水稀释至V,pH随

高考化学模拟试题汇编全国卷,高三理综化学大题第三题

的变化如图所示,下列说法正确的是

高考化学模拟试题汇编全国卷,高三理综化学大题第三题

A. HA为强酸,HB为弱酸

B. 水的电离程度a点大于b点

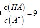
C. 当pH=2时,HA溶液中

高考化学模拟试题汇编全国卷,高三理综化学大题第三题

D. 等浓度等体积的HB与Na0H溶液充分反应后,离子浓度关系大小为:c(B-)> c(Na+)>c(H+)>c(OH-)

【答案】C

高考化学模拟试题汇编全国卷,高三理综化学大题第三题

【题型】选择题

【难度】一般

8.汽车尾气是导致雾霾天气的重要源头之一,其含有的NO(g)和CO(g)在一定温度和催化剂条件下可发生反应。

(一)已知:反应l: N2(g)+O2(g)=2NO(g) △H1 K1

反应2: CO(g)+ 1/2O2(g)=CO2 (g) △H2 K2

反应3: 2NO(g)+2C0(g)=N2(g)+CO2(g) △H3 K3

则反应3的焓变△H3=_______(用△H1和△H2表示) 平衡常数K3=_____(用K1和K2表示)。

(二)向1.0L恒容密闭容器中,充入N2O(g)和C0(g),可发生如下反应:

N2O(g)+CO(g)

高考化学模拟试题汇编全国卷,高三理综化学大题第三题

N2(g)+CO2(g),所得实验数据如下表:

高考化学模拟试题汇编全国卷,高三理综化学大题第三题

(1)上述实验编号①中,若10min时测得n(N2)=0.12mol,则0至10min内,用CO2表示的平均反应速率以v(CO2)=________;

(2)500℃时,欲使N2O的平衡转化率a(N2O)≥80%,则起始时n(N2O):n(CO)≤______。

(3)上述实验编号④达平衡时,b____0.24(填">"、"<"或"="),原因是_______。

(4) N2O(g)+C0(g)

高考化学模拟试题汇编全国卷,高三理综化学大题第三题

N2(g)+CO2(g)的反应体系达到平衡后,各物质的浓度在不同条件下的变化情况如下图所示:

高考化学模拟试题汇编全国卷,高三理综化学大题第三题

①若在第10min仅改变了一个条件,第20min时是在新条件下达到新的平衡状态,则第10min 时改变的条件可能是_______;

②比较

CO在第5min和第25min时速率的大小v(5)____v(25)(填">"、"<"或"= "),你判断的理由是______________。

【答案】(一) 2△H2-△H1

高考化学模拟试题汇编全国卷,高三理综化学大题第三题

;(二) (1)0.012mol·(L·min)-1

(2) l:4

(3)< 该反应△H<O,升高温度,平衡向逆反应方向移动,故b<0.24mol(合理即可)

(4) ① 升温 ② < 相对于第5min而言,在第10min时升高了温度,且浓度增加了,在其它条件不变时,速率会变快

高考化学模拟试题汇编全国卷,高三理综化学大题第三题

高考化学模拟试题汇编全国卷,高三理综化学大题第三题

500℃平衡时b=0.24,现温度升高到600℃,该反应△H<O,升高温度,平衡向逆反应方向移动,故b<0.24mol;

(4) ①反应物和生成物的浓度瞬间不变,平衡逆向移动,应该是升高温度引起的;

②相对于第5min而言,在第10min时升高了温度,且浓度增加了,在其它条件不变时

,速率会变快,即CO在第5min和第25min时速率的大小v(5)<v(25)。

【题型】填空题

【难度】一般

9.三草酸合铁(Ⅲ)酸钾是制备负载活性催化剂的主要原料。加热至110℃时失去结晶水,230℃时分解。极易感光,室温下光照变为黄色:

2K3·3H2O

高考化学模拟试题汇编全国卷,高三理综化学大题第三题

2FeC2O4·2H2O+3K2C2O4+2CO2↑+2H2O

已知:

高考化学模拟试题汇编全国卷,高三理综化学大题第三题

某同学对三草酸合铁(Ⅲ)酸钾的制备及组成进行了实验探究。回答下列问题:

(一)三草酸合铁(Ⅲ)酸钾的制备

(ⅰ)称取4.50 g FeC2O4·2H2O固体,加入饱和K2C2O4溶液中,用滴管慢慢加入3% H2O2溶液,不断搅拌,并保持温度在40℃左右。充分反应后,沉淀转化为氧氧化铁。

(ⅱ)加热至沸腾,滴加1mol 的草酸溶液至沉淀溶解。用草酸或草酸钾调节溶液pH=4-5

(ⅲ)小火加热浓缩,冷却结晶,过滤,先用少量冰水洗涤,再用无水乙醇洗涤,低温干燥后称量,得到9.80g 翠绿色晶体。

(1)完成步骤(i)发生反应的离子方程式:____FeC2O4·2H2O+______C2O42-+____H2O2=___Fe(OH)3+43-+____H2O

(2)步骤(ⅲ)中,用无水乙醇洗涤晶体的目的是________。

(3)列式计算本实验中三草酸合铁(Ⅲ)酸钾的产率______________。

(二)草酸根含量侧定

准确称取4.80g 三草酸合铁(Ⅲ)酸钾样品,配制成250mL 溶液。量取25.00 mL 溶液置于锥形瓶中,加入5.0 mL 1mol/L H2SO4,用0.06mol/L的KMnO4 溶液滴定。滴定终点时消耗KMnO4溶液20.00mL。

(4)滴定过程中,盛放高锰酸钾溶液的仪器名称是_______________,滴定时发生反应的离子方程式为_____。

(5)样品中草酸根的物质的量为_______;若该数值大于4.80g二草酸合铁(Ⅲ)酸钾纯品中草酸根的物质的量,其原因可能是_______(填字母)。

a.制取过程中草酸或草酸钾用量过多

b.样品未完全干燥

c.滴定时盛放KMnO4溶液的仪器未用标准液润洗

d.锥形瓶洗净后未烘干

(三)某同学制得的三草酸合铁(Ⅲ)酸钾,晶体表面发黄,推测可能有部分晶体发生了分解。

(6)为了验证此推测是否正确,可选用的试剂是____________。

【答案】⑴ 6 6 3 2 12

⑵ 除去晶体表面的水分

高考化学模拟试题汇编全国卷,高三理综化学大题第三题

⑷ 酸式滴定管 5C2O42-+2MnO4-+16H+=10CO2↑+2Mn2++8H2O或

53-+6MnO4-+48H+=30CO2↑+6Mn2++24H2O+5Fe3+

⑸ 0.03mol ac

⑹ 酸化的K3(铁氰化钾)溶液(1分,只答铁氰化钾也得分)(铁氰化钾也可写成铁(Ⅲ)氰化钾)

高考化学模拟试题汇编全国卷,高三理综化学大题第三题

中,滴定时草酸根离子被氧化为二氧化碳,反应方程式为5C2O42-+2MnO4-+16H+=10CO2↑+2Mn2++8H2O;

(5)设草酸根的物质的量为x mol,

高考化学模拟试题汇编全国卷,高三理综化学大题第三题

c.滴定时盛放KMnO4溶液的仪器未用标准液润洗,会消耗高锰酸钾偏多,使草酸根离子偏多,故c正确;

d.锥形瓶洗净后未烘干,无影响,故d错误;(6)表面发黄,可能生成FeC2O4,需要检验亚铁离子,加入酸化的K3(铁氰化钾)溶液,若变蓝色,则含有亚铁离子。

【题型】填空题

【难度】一般

10.辉铜矿是铜矿的主要品种之一传统的火法冶炼在资源的综合利用、环境保护等方面会遇到困难。辉铜矿的湿法冶炼目前国内外都处于探索阶段。自氧化还氨氮分离法是一种较为理想的湿法冶炼方法,工艺流程如下图所示:

高考化学模拟试题汇编全国卷,高三理综化学大题第三题

已知:

① 辉铜矿的主要成分是Cu2S,含有较多的Fe2O3、SiO2等。

② 软锰矿的主要成分是MnO2,含有较多的SiO2等。

③ 浸出时,生成一种非金属单质。

④ 室温下,Kap=4.0×10-38mol/L,Kap=8.0×10-16mol/L

完成下列填空:

(l)浸出前需要先将矿石粉碎,其目的是__________。

(2)写山浸出时主要反应的离子方程式_____________。

(3)浸渣A的主要成分为_______;调溶液pH 3.0-3.5的目的是除去______离子;室温下,若该离子的

浓度为4.0×10-8mol/L,则溶液的pH=__________。

(4) 工业上可将MnCO3、在300℃左右氧化来制取具有较好催化性能的MnO2,则MnCO3在空气中受热制取MnO2的化学方程式为_________________。

(5)从滤液C中提取硫酸氨晶体的步骤为_______、_______、过滤、洗涤、干操。

(6)与火法冶炼辉铜矿相比,用图中方法冶炼辉铜矿的优点有________、_____。(列举其中2条)

【答案】⑴ 增大与酸的接触面积,加快反应速率(或提高浸出效率)(合理即可)

⑵Cu2S+2MnO2+8H+=Cu2++S+2Mn2++4H2O

⑶ SiO2、S Fe3+ 4

⑷ 2MnCO3+O2

高考化学模拟试题汇编全国卷,高三理综化学大题第三题

2MnO2+2CO2

⑸ 蒸发浓缩 冷却结晶

⑹ 实现资源的综合利用 不产生污染环境的气体、能耗低等(合理即可)

高考化学模拟试题汇编全国卷,高三理综化学大题第三题

高考化学模拟试题汇编全国卷,高三理综化学大题第三题

【题型】填空题

【难度】一般

11.金属钛性能优越,被誉为继Fe、Al后应用广泛的"第三金属"。

(1)Ti基态原子的价电子排布式为_________。

(2)钛能与B、C、N、O等非金属元素形成稳定的化合物。电负性:C___Ti(填">"或"<",下同);第一电离能:N____O,原因是_________ 。

(3)月球岩石——玄武岩的主要成分为钛酸亚铁(FeTiO3)。FeTiO3与80%的硫酸反应可生成TiOSO4。SO42-的空间构型为___形,其中硫原子的杂化方式为_______,写出与SO42-互为等电子体的一种分子的化学式:________。

(4)Ti的氧化物和CaO相互作用能形成钛酸盐CaTiO3,CaTiO3的晶体结构如图1,Ti位于立方体的体心。该晶体中,Ca2+的配位数为__。

高考化学模拟试题汇编全国卷,高三理综化学大题第三题

(5)Fe能形成多种氧化物,其中FeO晶胞结构如图2。FeO晶胞边长为428pm则FeO晶体的密度为____g/cm3(阿伏伽德罗常数的值用NA表示,1pm=10-12m,写出计算式即可)。

【答案】⑴ 3d24s2

⑵> > N原子中的2p轨道处于半充满状态,更稳定

⑶ 正四面体 sp3 CCl4、SiCl4、SO2Cl2等

⑷ 12

高考化学模拟试题汇编全国卷,高三理综化学大题第三题

高考化学模拟试题汇编全国卷,高三理综化学大题第三题

【题型】填空题

【难度】一般

12.抗痫灵(G)具有抗癫痫、抗惊厥、抗抑郁等功效,其合成路线如下图所示(某些反应条件和副产物已略):

高考化学模拟试题汇编全国卷,高三理综化学大题第三题

(1)A中含氧*能官**团名称是______;简述证明A含有该*能官**团的实验方法:_________。

(2)若以醛基为母体,则B的系统命名法的名称为_______;①~⑥的反应中属于加成反应的是____ (填序号)。

(3)芳香化合物H是C的同分异构体,H的相关信息如下:

a.可发生银镜反应; b.可与NaHCO3溶液反应生成气体;c.苯环上的一溴代物有2种,则H的结构简式为__________。

(4)写出反应⑥的化学反应方程式:_____________。

(5)(

高考化学模拟试题汇编全国卷,高三理综化学大题第三题

)的单体

是薰衣草的调和香料,以苯甲醛(

高考化学模拟试题汇编全国卷,高三理综化学大题第三题

)为起始原料(其余有机、无机原料任选),参照G的合成,设计并补充完成下列合成路线图:__________(空格内有几步,写几步。)

高考化学模拟试题汇编全国卷,高三理综化学大题第三题

【答案】 ⑴ (酚)羟基 用一支洁净的小试管取A试液少许,用滴管滴几滴FCCl3溶液,若溶液变紫色,则证明A分子中含酚羟基

⑵ 3,4-二羟基苯甲醛 ③

高考化学模拟试题汇编全国卷,高三理综化学大题第三题

高考化学模拟试题汇编全国卷,高三理综化学大题第三题

高考化学模拟试题汇编全国卷,高三理综化学大题第三题

高考化学模拟试题汇编全国卷,高三理综化学大题第三题

高考化学模拟试题汇编全国卷,高三理综化学大题第三题

(4)反应⑥属于取代反应,反应的化学反应方程式为

高考化学模拟试题汇编全国卷,高三理综化学大题第三题

,故答案为:

高考化学模拟试题汇编全国卷,高三理综化学大题第三题

(5)以苯甲醛(

高考化学模拟试题汇编全国卷,高三理综化学大题第三题

)为起始原料合成

高考化学模拟试题汇编全国卷,高三理综化学大题第三题

,首先要合成单体

高考化学模拟试题汇编全国卷,高三理综化学大题第三题

,而合成

高考化学模拟试题汇编全国卷,高三理综化学大题第三题

,根据题干G的合成路

线中的反应③、④、⑤,需要合成

高考化学模拟试题汇编全国卷,高三理综化学大题第三题

,再合成

高考化学模拟试题汇编全国卷,高三理综化学大题第三题

【题型】填空题

【难度】一般