

最近,要上市的企业有很多。
像滴滴就在6月11日向SEC(美国证券交易委员会)递交了IPO招股书,招股书显示,滴滴三年净亏损超过350亿,但估值仍然超过千亿美元。
还有准备在港交所上市的奈雪的茶,“作为新茶饮第一股”,奈雪的茶也是流血上市,顶着亏损的名头,估值也达到了130亿。
有的人觉得是不是疯了,哪来的这么高的估值?
有的人就觉得很合理,完全没问题。
怎么样?
他们少则上亿,多则上千亿的估值是不是也让我们很心动,开始在脑海里浮想联翩了?
不过,别开心的太早。
同样是企业估值,有人漫天要价,结果被投资人无情的嘲讽为傻子在胡闹。


所以,企业估值不是小事,这是一个我们在很多经营场景下都需要应用的知识,比如说融资、收购、向银行借贷、出售等等。
我们假如连自己企业值多少钱都不知道,是怎么来的也不知道。
那才是真的被人看笑话,也容易被人蒙骗。
那么,如何正确评估自己的企业价值?既不委屈自己,又不贻笑大方呢?
我从财务出身的理解,以及参考了目前投行的标准,来带大家看看企业估值的玄学问题。

首先,什么叫企业估值?
就白了就是给自己的公司定一个合理的价格,就如同给商品贴上一个合适的价目表。
做好企业估值可以帮助我们进行:
资本筹集 ( capital raising ),
收购合并 ( mergers acquisitions ),
公司重组 ( corporate restructuring ),
出售资产或业务 (divestiture) 、新股发行上市(IPO)。
而且,所有企业都可以被估值,不管你是盈利还是亏损,你的企业是小到一人作战,还是达到举世闻名,你的企业都会有一个合适的价格。

当然,这里就存在一个有趣的博弈问题。
投资人都希望自己投资的企业越便宜越好,就跟买东西都希望卖家越便宜越好一样。
但作为老板的我们,就希望企业估值越大越好。
要做好这一点其实不难,那就是学好企业估值的方法,讲好我们为什么值钱的逻辑。
其中的核心就在于“价值决定价格”。
这样就有了我们常见的两种估值方法,相对估值法和绝对估值法。

相对估值法
先来讲相对估值法。
我们会选一些财务指标,然后将它们和同行业的上市公司去对比,从而得到我们自己想要的估值。
我们来看三个比较实用的财务指标以及他们对应的估值方法。
第一种、是最常用的PE估值法,也就是市盈率估值法。
通过对比同类上市公司来测算自己的市盈率,从而给自己估值。
计算公式为市盈率=每股价格/每股收益。
举个例子,比如我们是一家制造企业,今年净利润为1000万,注册资本1000万股,对应的每股收益就是1元。
我们可以放大对比一下文章中的图,一般上市公司制造业市盈率在35倍左右。

这个35倍的市盈率就可以作为一个参考,来估算我们自己公司的市盈率。
通常我们都要自己的市盈率估的低一些,比如估一半,用17倍作为我们自己的市盈率。
这么做,一方面是因为我们大部分企业,还比不上一些上市公司,而且,上市公司的股份流动性很高,股价会被高估。
另一方面,在真实的业务场景下,适当调低市盈率是为了股份交易能够顺利进行,更容易获得买家认可。
别一开口就是百八十亿的把人吓跑了。
接着上面的例子继续说,得到了17倍的市盈率之后,我们就套用公式。
17倍市盈率=每股价格/每股1元的收益。
计算出每股价格为17元,乘上我们的总股本1000万股,最终我们在PE估值法下,我们总价值为1亿7000万。
PE估值法的逻辑在于,公司有不断产生盈利的价值。
那么,我们就在公司每年的盈利模式上,赋予一个倍数红利来给公司做估值。
当然,年化盈利能力越强,爆发能力越强,那么PE倍数越高,估值就会越高。
很多高科技公司或者独角兽企业就是因为成长性特别高,爆发能力高,获得了较高的PE倍数来估值。
我们可以参考《指数型策划》这本书,加深对业绩爆发和打造独角兽公司的理解。

当然,聪明的同学会发现,PE估值法只能对有净利润的公司进行估值,未免有点局限。
所以我们接下来还有PS估值法和PB估值法。

第二种、PS估值法。 PS估值法又叫市销率估值法。
计算公式为市销率=每股价格/每股销售额。
只要公司有销售收入,拿它来除于总股本,就可以得出每股销售额,并不需要公司盈利。尤其适用于那些亏损的公司进行估值。

第三种、PB估值法。 PB估值法又叫市净率估值法。
计算公式为市净率=每股价格/每股净资产。
只要公司净资产为正,除于总股本就可以得出每股净资产,同样也不需要公司盈利。
他们都跟PE估值法高度相似,都可以先参考同行业上市公司的市销率或者市净率。
然后,我们估算公司的市销率或者市净率,通过公式,最后就可以得到我们的每股价格和最终的公司估值。
我计算了一下华为,在PE、PS、PB三种估值法的原理下,保守得出华为的估值,在1.3万亿美金。

(来源于网络)
相对估值法最大的优点就是简单,通过比较同行业上市公司来估值。
目前国内还是非常流行相对估值法,尤其是PE估值法,也是大家可以用来说服别人的有效工具。
但相对估值法最大的弊端是估值非常主观,过于保守和过于乐观都会导致估值的巨大差异。
这种巨大的差异,有时候也会让企业出现被高估,或者是低估的现象。
所以,就有了绝对估值法。

绝对估值法
什么是绝对估值法呢?它的优点是什么呢?
绝对估值法最大的优点在于估值偏差较小,形成了和相对估值法的本质区别,也是它所谓“绝对”的意义所在。
绝对估值法最常见的形式就是Discounted cash flow(DCF),译为现金流折现法。
巴菲特就说:“公司的内在价值,就是企业在未来所能产生的现金流的折现值”。
用通俗的话来讲,那就是你公司未来能赚到的钱,基于货币的时间价值,把它们都折到现在,就是公司现在所值的价钱。
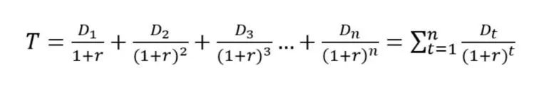
这个计算公式相对就很复杂了。
我把公式列下来,你们有兴趣的看一看。

其中公式里的r是折现率,因为未来的钱没有现在值钱,需要有一个折损率。
通常我们用10年期国债利率,再加上风险溢价率作为参考,通常取8%左右。
举个例子,你花80万开了一家养鸡场,预计第一年收入10万,第二年收入20万,第三年收入30万,你把养鸡场卖掉换到了100万,那么,这家养鸡场值多少钱?
这就考验的是数学了,根据公式:
10/108%+20/108%^2+130/108%^3=9.26+17.15+103.20=130
130万就是这家养鸡场的价值。
这个是最简单的绝对估值法,还有其他诸如多阶层贴现法、股利贴现法、永续增长贴现法等等。
这个以后有空再跟大家详细讲。
其实,我们不难看出,绝对估值法的自由裁量空间较小,数据相对固定,所以最终得到的估值不会有太大差距。
但是,绝对估值法往往得到的企业估值有点低,比不上相对估值法。
因为绝对估值法是基于绝对理性的贴现理论产生的,不像相对估值法有成倍的放大效益。
不过,绝对估值法在国外运用的比较多,国外公司更加习惯分析你的现金流,也更愿意发放股息。
但是,在中国运用的比较少。
绝对估值法,这是一个你跟投资人谈判时的底价,是企业最低价格的有效支撑点。


最后,我们来总结一下。
企业估值有很多种方法,我讲到的这两个方法只是目前被运用最多的估值方式。
但是,不管用什么估值方式,核心永远是不变的。
那就是“价值决定价格”。

当年华谊兄弟为什么愿意花10.5亿收购东阳美拉?
要知道这家公司注册资本只有500万,成立也才2个月,可以说是标准的空壳公司。
那为什么华谊兄弟愿意花这么大的代价去买呢?
因为这家公司的老板是冯小刚。
华谊兄弟认为冯小刚这个名字的价值,就值10.5亿。
同样,为什么滴滴、奈雪的茶哪怕亏损也会产生百亿、千亿的估值呢?
因为他们有市场,有用户,他们的价值是被投资人一轮又一轮认可的。
所以,不管你现在有没有盈利,规模大不大,只要你做的事情,推出的产品被用户认可,被市场接受,你就有了价值。
你就可以讲好你的故事,说好你的逻辑,去说服别人认可你的估值。
好的企业,不会缺少愿意给你投钱的人,但前提是,你要是一家有价值的好公司。
所以,各位,你明白要去做什么?你知道要去找谁学了吗?
—
责任编辑 | 罗英凡