干粉灭火系统是依靠驱动气体(惰性气体)驱动干粉的,干粉固体所占体积与驱动气体相比小得多,宏观上类似气体灭火系统,因此,可采用二氧化碳灭火系统设计数据。防护区围护结构具有一定耐火极限和强度是保证灭火的基本条件。
一、一般规定
1、干粉灭火系统按应用方式可分为全淹没灭火系统和局部应用灭火系统。扑救封闭空间内的火灾应采用全淹没灭火系统;扑救具体保护对象的火灾应采用局部应用灭火系统。采用全淹没灭火系统的防护区,应符合下列规定:
- ①、喷放干粉时不能自动关闭防护区的开口,其总面积不应大于该防护区总内表面积的15%,且开口不应设在底面。
- ②、防护区的围护结构及门、窗的耐火极限不应小于0.50h,吊顶的耐火极限不应小于0.25h;围护结构及门、窗的允许压力不宜小于1200Pa。
2、采用局部应用灭火系统的保护对象,应符合下列规定:
- ①、保护对象周围的空气流动速度不应大于2m/s。必要时,应采取挡风措施。
- ②、在喷头和保护对象之间,喷头喷射角范围内不应有遮挡物。
- ③、当保护对象为可燃液体时,液面至容器缘口的距离不得小于150mm。
3、当防护区或保护对象有可燃气体,易燃、可燃液体供应源时,启动干粉灭火系统之前或同时,必须切断气体、液体的供应源。
4、可燃气体,易燃、可燃液体和可熔化固体火灾宜采用碳酸氢钠干粉灭火剂;可燃固体表面火灾应采用磷酸铵盐干粉灭火剂。
5、组合分配系统的灭火剂储存量不应小于所需储存量最多的一个防护区或保护对象的储存量。
6、组合分配系统保护的防护区与保护对象之和不得超过8个。当防护区与保护对象之和超过5个时,或者在喷放后48h内不能恢复到正常工作状态时,灭火剂应有备用量。备用量不应小于系统设计的储存量。
7、备用干粉储存容器应与系统管网相连,并能与主用干粉储存容器切换使用。
二、全淹没灭火系统
全淹没灭火系统的灭火剂设计浓度不得小于0.65kg/㎡。灭火剂设计用量应按下列公式计算:

2、全淹没灭火系统的干粉喷射时间不应大于30s。
3、全淹没灭火系统喷头布置,应使防护区内灭火剂分布均匀。
4、防护区应设泄压口,并宜设在外墙上,其高度应大于防护区净高的2/3。泄压口的面积可按下列公式计算:

三、局部应用灭火系统
1、局部应用灭火系统的设计可采用面积法或体积法。当保护对象的着火部位是平面时,宜采用面积法;当采用面积法不能做到使所有表面被完全覆盖时,应采用体积法。
2、室内局部应用灭火系统的干粉喷射时间不应小于30s;室外或有复燃危险的室内局部应用灭火系统的干粉喷射时间不应小于60s。
3、当采用面积法设计时,应符合下列规定:
- ①、保护对象计算面积应取被保护对象表面的垂直投影面积。
- ②、架空型喷头应以喷头的出口至保护对象表面的距离确定其干粉输送速率和相应保护面积;槽边型喷头保护面积应由设计选定的干粉输送速率确定。
- ③、干粉设计用量应按下列公式计算:m=N×Qi×t
式中:
N--喷头数量
Qi--单个喷头的干粉输送速率(kg/s);按产品样本取值
t--喷射时间
4、当采用体积法设计时,应符合下列规定:
- ①、保护对象的计算体积应采用假定的封闭罩的体积。封闭罩的底应是实际底面;封闭罩的侧面及顶部当无实际围护结构时,它们至保护对象外缘的距离不应小于1.5m。
- ②、干粉设计用量应按下列公式计算:
m=V₁×qv×t
qv=0.04-0.006Ap×At
式中:
V₁--保护对象的计算体积(m³)
qv--单位体积的喷射速率(kg/s/m³);
Ap--在假定封闭罩中存在的实体墙等实际围封面面积(㎡);
At--假定封闭罩的侧面围封面面积(㎡)。
- ③、喷头的布置应使喷射的干粉完全覆盖保护对象,并应满足单位体积的喷射速率和设计用量的要求。
四、预制灭火装置
1、预制灭火装置应符合下列规定:
- ①、灭火剂储存量不得大于150kg
- ②、管道长度不得大于20m
- ③、工作压力不得大于2.5MPa
2、一个防护区或保护对象宜用一套预制灭火装置保护。
3、一个防护区或保护对象所用预制灭火装置最多不得超过4套,并应同时启动,其动作回应时间差不得大于2s。
4、管网计算:
- ①、管网起点(干粉储存容器输出容器阀出口)压力不应大于2.5MPa;管网最不利点喷头工作压力不应小于0.1MPa。
- ②、4管网中干管的干粉输送速率应按下列公式计算:

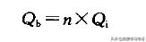
- ③、管网中支管的干粉输送速率应按下列公式计算:

式中:
Qb——支管的干粉输送速率(kg/s)
Qi——单个喷头的干粉输送速率(kg/s)
n ——安装在计算管段下游的喷头数量
- ④、管道内径宜按下列公式计算:

式中:
d ——管道内径(mm)
Q ——管道中的干粉输送速率(kg/s)
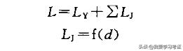
- ⑤、管段的计算长度应按下列公式计算:

式中:
L ——管段计算长度(m)
Ly——管段几何长度(m)
Lj ——管道附件的当量长度(m)
- ⑥、管网宜设计成均衡系统,均衡系统的结构对称度应满足下列公式要求:

式中:
S ——均衡系统的结构对称度
Lmax ——对称管段计算长度最大值(m)
Lmin ——对称管段计算长度最小值(m)
- ⑦、管网中各管段单位长度上的压力损失可按下列公式估算:


式中:
△P/L——管段单位长度上的压力损失(MPa/m)
Pe——管段末端压力(MPa)
λq——驱动气体摩擦阻力系数
g ——重力加速度(m/s²)取9.81
∆ ——管道内壁绝对粗糙度(mm)
- ⑧、高程校订前管段首端压力可按下列公式估算:

式中:
Pb’——高程校订前管段首端压力(MPa)
⑨、用管段中的平均压力代替公式中的管段末端压力,再次求取新的高程校订前的管段首端压力,两次计算结果应满足下列公式要求,否则应继续用新的管段平均压力代替公式中的管段末端压力,再次演算,直至满足下列公式要求:


式中:
Pp——管段中的平均压力(MPa)
δ——相对误差
i——计算次序
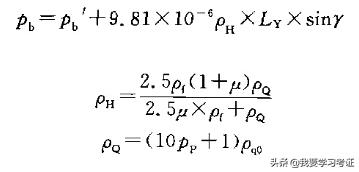
- ⑩、高程校订后管段首端压力可按下列公式计算:

式中:
Pb——高程校订后管段首端压力(Mpa)
ρH——干粉-驱动气体二相流密度(kg/m³)
γ ——流体流向与水平面所成的角(°)
ρQ——管道内驱动气体的密度(kg/m³)
- ⑪、喷头孔口面积应按下列公式计算:

式中:
F——喷头孔口面积(mm²)
qo——在一定压力下,单位孔口面积的干粉输送速率(kg/s/mm²)
⑫、管网宜设计成均衡系统,干粉储存量可按下列公式计算:

式中:
mc是指干粉储存量(kg)
ms是指干粉储存容器内干粉剩余量(kg)
mr是指管网内干粉残余量(kg)
VD整个管网系统的管道容积(m³)
- ⑬、干粉储存容器容积可按下列公式计算:

式中:
Vc--干粉储存容器容积(m3),取系列值
ρf --干粉灭火剂松密度(kg/ m3)
K--干粉储存容器的装量系数
- ⑭、驱动气体储存量可按下列公式计算:
非液化驱动气体:

液化驱动气体:

式中:
mgc ——驱动气体储存量(kg);
Np ——驱动气体储瓶数量;
Vo ——驱动气体储瓶容积(m³);
PC ——非液化驱动气体充装压力(MPa);
Po ——管网起点压力(MPa);
mg ——驱动气体设计用量(kg);
mgs——干粉储存容器内驱动气体剩余量(kg);
mgr——管网内驱动气体残余量(kg);
α ——液化驱动气体充装系数(kg/m³)。
⑮、清扫管网内残存干粉所需清扫气体量,可按10倍管网内驱动气体残余量选取;瓶装清扫气体应单独储存;清扫工作应在48h内完成。