今日份分享:2020 年辽宁省沈阳 126 中考数学模拟试卷



























- 实数概念:相反数
- 小立方体三视图
- 科学记数法
- 整式计算
- 一元二次方程根的判别式
- 中位数;众数
- 概率公式
- 正六边形边心距
- 全等三角形的性质和判定;垂直平分线的性质
- 二次函数图像
- 分解因式
- 反比例函数性质
- 解一元一次不等式
- 圆周角定理;圆的内接多边形
- 二次函数的最值应用
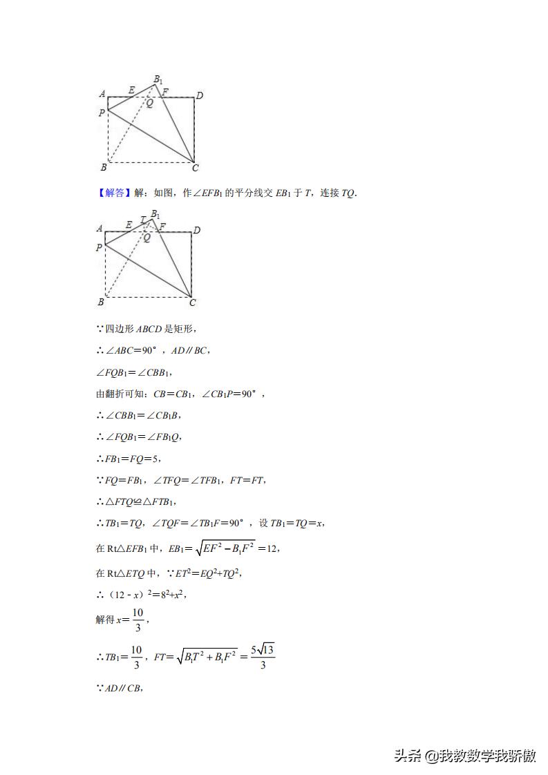
- 矩形的性质;翻折问题
- 计算综合
- 平行四边形的性质与判定
- 统计图综合
- 列表法与树状图法
- 分式方程应用题;一元一次不等式应用题
- 切线的判定与性质;圆周角定理;垂径定理
- 一次函数综合题;等腰三角形的存在性问题
- 四边形综合
- 二次函数综合题