计算,是初中数学的硬功夫。计算能力差,就算再会解题,也很难得高分。结合同学们在试卷及作业中出现的问题,小编为大家总结了“初中计算十大易错点实例精析”,希望同学们在以后的计算中,“对号入座”,避免此类错误的发生。

易错点一:书写不规范,抄写错误
刚开始接触有理数计算,有的同学往往将-1+(-5)写成-1+-5,-x写成-1x,这些基本的书写规范要注意。
甚至有同学常犯“抄错”的毛病,上行到下行、卷子到答题卡抄错,这些都属于我们熟悉的“低级”错误。
例如,下面是某同学答题过程,你们有没有中枪呢?

建议:做题时,要细心;眼盯住,手别慌(一定要认真)!
易错点2:跳步,不愿意多写步骤
有些同学计算时,喜欢跳跃思维,不按“套路”解题,往往导致结果错误。
做题时,一定要按步骤去计算,不能急于求成,要循序渐进,在保证正确率的前提下,才可以省略一些非关键的步骤。

建议:做题时,按步骤,不焦急,不跳步!
易错点3:运算顺序出错,法则不熟悉
下面这位同学,没有按照运算法则的顺序进行计算,导致了失分。
运算顺序:括号优先,先乘方,再乘除,最后加减。加减法为一级运算,乘除为二级运算,乘方、开方为三级运算
同级运算从左到右,不同级运算,应该先三级运算,然后二级运算,最后一级运算
如果有括号,先算括号里的,先算小括号,再算中括号,最后大括号。以上运算顺序可以简记为:“从小(括号)到大(括号),从高(级)到低(级),(同级)从左到右”。

建议:牢记口诀多练习,认真计算没问题!
易错点4:去括号,注意系数及符号变化
对于计算题,老师发现同学们去括号时,最容易犯错!同学们去括号时,一定要注意括号前面的系数和符号。
去括号时,当括号前面有“-”,括号内的符号要发生改变;当括号前面有系数时,括号内的每一项都要与其相乘。
例如,同学们在去括号时,经常会出现将5-(4-3)去括号变成5-4-3(应是5-4+3),将5(x+6)去括号变成5x+6(少乘一项)。这类问题很常见,不知道你是否中招了呢?

建议:去括号要两看,一看系数,二看符号!
易错点5:去分母时,漏乘无分母项
解方程和不等式时,经常涉及到去分母,等号两边同时乘以分母的最小公倍数时,同学们一定要注意不要漏乘!大家经常犯的错误是忘记漏乘常数项。例如下面这种情况:

建议:去分母,要遍乘,常数项,不遗漏!
易错点6:去分母时,要注意分子中隐藏的括号
解方程去分母时,一定要注意,当分子有几项相加(减)时,去掉分母后,分子是一个整体,记得这个整体有一个“隐形”的括号呦!
下面这位同学,去分母时没有注意隐藏的括号,导致了最终结果的错误。

建议:去分母,先找最小公倍数,再添隐形的括号!
易错点7:移项时注意符号变化
一元一次方程、二元一次方程组及不等式解题时,除了去分母常见错误以外,移项时符号的改变也是同学们经常出现错误的地方!
同学们一定要弄清楚,将一项移到(不)等号另一边时(利用的是等式性质,相当于等式两边同加或者同减),符号要发生改变。一定要注意呦!
例如,12≤x与-x≤-12是等价的;3x-1=x-4移项整顿3x-x=-4+1;下这位同学,移项时就忘记了变号。亲,做题时要认真哦!

建议:移项有学问,符号要改变!
易错点8:符号判断中“奇负偶正”问题
计算时,我们要先定符号,再定(绝对)值。符号的判断我们要借助“奇负偶正”法则进行判定。下面我们来总结下学过的“奇负偶正”:
(1)去符号问题
例如-(-2)=2;-[-(-2)]=-2。当"-"的个数为奇数时,最终 结果只保留一个"-";当"-"的个数为偶数时,最终结果只保留一个"+"(正号可以省略)。
(2)有理数乘(除)法运算时符号判断
例如(-2)×(-3)=6;(-2)×(-3)×(-4)=-24.当负因数的个数为奇数时,结果为负;当负因数的个数为偶数时,结果为正。
(3)乘方运算时,符号的判定
例如(-2)2=4;(-2)3=-8;(-2)?,当n为偶数时,(-2)? =2?;当n为奇数时,(-2)?=-2?
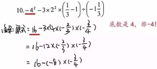
掌握了“奇负偶正”的符号判断方法后,更关键的是要准确地找到底数。记住,当负数和分数做底数时,底数必须加括号。
比如下面这位同学,将-4^2算成了16,他将底数看成了-4,而实际上的底数是4(如果底数是-4,那么写法应该是 (-4)2)。

建议:符号化简找底数,奇负偶正再跟上!
易错点9:不等号的方向问题
根据不等式的性质,不等式两边同乘除一个正数,不等号方向不变;不等式两边同乘除一个负数,不等号方向发生改变;不等式两边同乘0,不等式变等
式。

建议:不等号很特殊,变向都是因为负!
易错点10:二元一次方程组常见错误
在解二元一次方程组时,系数简单时(例如系数为1)可以选择代入消元法,但是一定要代入非变形方程去消元。
当未知数的系数相等可以利用减法去消元,当未知数的系数互为相反数,可以利用加法去消元。
不管选择哪种方式,求解二元一次方程关键都在于“消元”,同时要注意符号、系数等问题。

下面是同学们做题时,错误率比较高的地方,来看看你有木有犯同样的错误。
(1)加减消元时,系数加减出错。
(2)代入消元时,代入原变形方程,求解不出未知数。