
上次给大家的干货是经济效果评价体系的各项指标,这次带来的是工程经济这一章必记的5个公式。相信很多学员都对此盼望已久,接下来,小编给你一一介绍。
工程经济必记5个计算公式
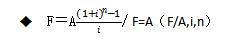
一
现值终值公式(复利)

此公式非常基础且非常重要,在考试中,一定要判别出是否为单纯的复利计息下已知现值(终值)求终值(现值)的情况。很可能在这个期间存在单利计息的情况,如果题中没有表明单利的语句,默认为复利计息。
二
终值年金公式

此公式较有难度,重点掌握年金A的概念(等额、联系、计息期末)。并且通过“一”和“二”这两个式子可推出P与A的关系公式,无需在另行记忆。此公式为考试中的常客,每年必考。
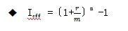
三
有效(实际)利率的计算公式

此公式需要理解其由来,并且会计算。随着考试难度的增大,常与前面两个式子结合考察。一定要注意式中r表示该期利率,m表示该期计息次数。每年必考。
四
设备经济寿命计算公式

此公式无推算过程,只能靠记忆。考试中会给出其中三个未知量求剩余的一个未知量。
五
附加率法算租金公式

此公式可拆开为R=P/N+P×i+P×r,大家可根据自身理解去记忆。考察方式较为简单但考试频率很高。
以上便是工程经济必记5个计算公式,希望大家无论如何也要掌握,多做些相应的题目,一定要保证这些题目一分不丢!