首先,告诉你一个可以用来炫耀的知识点:羊驼是骆驼科的一员,并不是羊!
大家肯定会有疑问:不对啊,骆驼的背上不是应该有山峰的吗?为什么羊驼长得一点都不像骆驼?
这还得从骆驼的祖先说起!
走着走着就走散了
骆驼科的祖先本来是大约5千万年前在北美洲起源的。第四纪冰期的时候,由于海平面下降,有一支就跨过了白令海峡,从北美走到了亚洲,进化成了我们常见的双峰驼,以及非洲的单峰驼。
另一支,则从北美南下,到达了南美洲安第斯山地区,也就是现在的南美洲驼类的祖先——无峰驼。

骆驼科扩散之路(Burger et al., 2019)
南美洲的无峰驼其实只有四种:原驼(Guanaco)、骆马(Vicuna)、美洲驼(Llama)以及我们熟悉的羊驼(Alpaca)。这四种驼里,原驼和骆马是野生物种,美洲驼和羊驼则是驯化物种(请大家牢记这四个名字,因为后边会反复出现,非常容易记混)。

(图片来自网络)
但这个时候,其实还没有羊驼这个物种。
因为羊驼是驯化出来的物种,那就意味着必须要有人类参与。
人类在最后一次从非洲走出来后,逐步扩散到了欧亚大陆。在末次冰盛期后(大约2万年前),人类则进一步从亚洲跨过了白令海峡,也到了美洲。
这才开启了人驯化羊驼的故事。

人类走出非洲(图片来自网络)
那为什么人类会选择驯化羊驼,而不选一些其他的物种,比如猪啊、牛啊、羊啊这些。
首先,不是不想,是真没有!
看一看勤劳的南美人民驯化的另外两个物种就知道了:火鸡+豚鼠。

(图片来自网络)
我们都知道火鸡作为感恩节的必备美食,但是像豚鼠这么天真无邪、人畜无害的动物,在南美的主要功能却也是跟火鸡一样:成为食物!
以前生活在南美洲的人们几乎家家养了豚鼠,逢年过节还会烤个豚鼠来招待客人(反正我是不会吃的)。
前方高能预警!

(图片来自网络)
但时间一长,也得换换口味。再说,就对大自然的适应能力而言,人类是非常地依赖,除了食物是靠动物提供的,连衣服也得是。比如,羊驼毛是各种纺织品的天然原材料(从羊驼薅完羊毛后的样子就知道毛量有多充足,并且还有几十种天然色)。

(图片来自网络)
所以,南美人民首先就把目光锁定在安第斯山间欢快奔跑的野生骆驼们身上。

野生骆马(图片来自网络)
而且,由于羊驼所在的南美洲,天敌非常少。所以它们的性格也非常温顺可爱。比如,从不会咬人,因为没有上门牙!

(图片来自网络)
能使用的最最激烈的防御*器武**也不过就是“远程发炮”,相对容易驯化。

(图片来自网络)
在这一点上,人类驯化动物,就像男孩儿追女孩儿,任何一方性格太敏感的都不容易成功。比如常年处于生存竞争激烈的非洲大草原上,哪怕是我们以为很“温顺”的斑马,都养成了稍有风吹草动就开怼的性格(也难怪,直到现在,非洲大草原上都没有一种驯化成功的动物……)。

(图片来自网络)
但是,这些还不够!
人类除了吃穿依赖动物,还特别会计算成本。既让马儿跑,又让马儿吃得少,驯化动物也是,首先考虑找个只吃草,不吃肉的。羊驼就特别“争气”,完美地符合这一点!

(图片来自网络)
最后,这些各种各样的因素加在一起,带着点儿先天宿命意味的羊驼就出生了(黑格尔:存在即合理,现实中存在的事物都有其存在的逻辑!)。
解开羊驼身世之谜
看起来是如此的合理,但是还存在着一个问题:这羊驼到底是从哪个野生的物种里驯化过来的?国际上的科学家们其实一直都搞得不是很清楚。有的说是从原驼(Guanaco)、有的说是骆马(Vicuna),还有的说是原驼(Guanaco)和美洲驼(Llama)一起搞出来的。
不过,这也不能怪科学家们。因为……这些驼驼们长得实在是太像了!(反正记住都很萌就对了)

(图片来自网络)
直到最近,中国科学院动物研究所詹祥江实验室联合国内外科学家一起,在国际遗传学前沿杂志 Genome Biology 上发表研究论文,才从基因组层次上系统解开了羊驼的身世之谜:你的老爸(祖先)就是骆马(Vicuna)。不过!!历史上还有过一个隔壁“王叔叔”存在,那就是美洲驼(Llama)。
读到这里,大家不仅要问,科学家们又是如何知道的?
首先,科学家们在南美洲安第斯山地区,广泛收集了这四种驼驼们的样品,也就是两个驯化物种(羊驼Alpaca和美洲驼Llama),两个野生物种(原驼Guanaco和骆马Vicuna)。

图1 采样地图
拿到DNA序列之后,做的第一件事儿就是使用系统树构建,描绘了他们之间的进化关系,我们先记为A树。但是,这个A树长得有点奇怪:原驼(Guanaco)和骆马(Vicuna)这两个野生物种分开很久了,这个可以理解,毕竟是两个野生物种。
美洲驼(Llama)是原驼(Guanaco)的后代,这个也没太大争议,之前的研究也比较支持这个结论。
但是,但是!羊驼却比骆马(Vicuna)的进化关系更久远,看着好像是骆马(Vicuna)是从羊驼里驯化出来的一样。这在逻辑上是说不通的:野生物种怎么会是驯化物种的后代?

图2 系统发生树构建
于是,科学家们又做了一个遗传结构的分析,计算了他们每个个体的祖先成分比例,这才找到原因。
原来羊驼(Alpaca)的DNA成分里,有36%左右是从美洲驼(Llama)渗入过来的,这样就很可能导致羊驼(Alpaca)和美洲驼(Llama)在A树上更靠近一些,让人觉得骆马(Vicuna)是从羊驼(Alpaca)里驯化出来的假象。

图3 遗传结构分析
那么,大家会想,假如把这些渗入过来的DN*片A**段都去掉,是不是就正常了?
科学家们其实也是这么想的……
因此,科学家们通过“局部祖先推断”的操作,又进一步将这些DN*片A**段屏蔽掉之后,发现果然正常了!

图4 系统发生树构建(去除渗入片段后)
不仅如此,科学家们通过模型计算发现,美洲驼(Llama)给了羊驼大约36%的DNA,羊驼(Alpaca)还回赠了美洲驼(Llama)大约5%的DNA。这些大范围的“礼尚往来”才造就了以往研究们的不一致。

图5 进化关系示意图
那么,知道了“我是谁”的问题之后,科学家又有了新的疑问:这种“礼尚往来”是什么时候的事情?又是如何发生的?(有没有人强迫它们?)
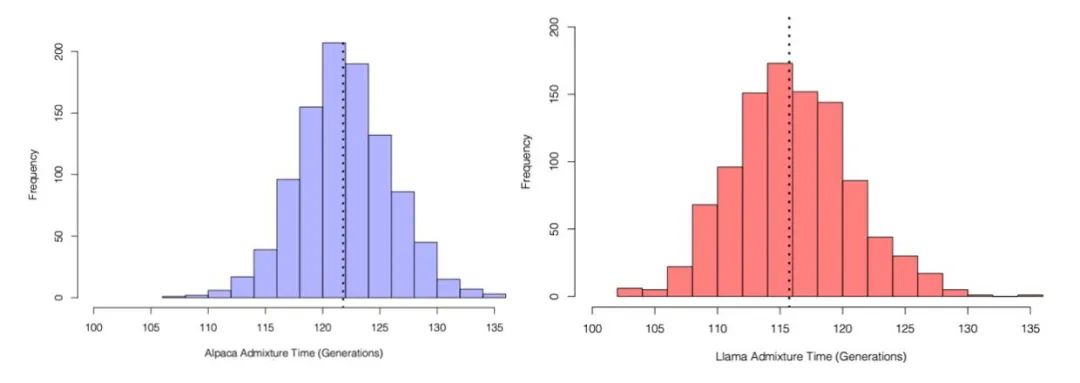
为了找到这个问题的答案,科学家统计了这些DN*片A**段的长度,通过构建一种叫“重组-衰减”的统计模型,计算了“礼尚往来”发生的最可能时间。

图6 渗入时间推断
结果发现,两次时间比较接近,都是在大约500年前!也就是十六世纪30年代。(羊驼os:500年了,你们还是给发现了!)

(图片来自网络)
那500年前到底发生了什么?
翻开历史课本发现,十六世纪30年代,对南美洲来说,是文明发展史上非常关键的一个时期,甚至可以说,改变了南美洲的文明发展轨迹!
在十六世纪之前,统治南美洲的一直是印加帝国。印加帝国塑造了曾经非常辉煌的印加文明,与玛雅文明、阿斯特克文明并称为“美洲三大文明”。
但是随着哥伦布1492年发现美洲大陆,欧洲人开启了殖民扩张浪潮。正是在十六世纪30年代,西班牙人到达南美洲。
两军相遇,必有一战。这场战争,可以说是毫无悬念。我们可以想象一下,面对枪炮和铁骑加成的西班牙人,甚至都没有“骑兵”(复习一下刚才我们说过南美洲能驯化的物种都有哪些…)的印第安人,几乎没有招架之力。西班牙人很轻松就征服了南美洲,开启了南美殖民时代。由此也可以看出,动物的驯化,对人类社会文明的发展是多么重要!

(图片来自网络)
西班牙人占领之后,不仅对印第安人大肆*杀屠**,动物亦不放过。科研人员通过对种群动态历史大小的推断,也确实证实了羊驼数量在当时加速下降。
同时,对于羊驼(Alpaca)和美洲驼(Llama),西班牙人其实也傻傻分不清。搞得这两种驼都是混养在一起。这种混乱的管理方式,导致了我们以上看到的大范围基因渗入(“礼尚往来”)现象。

(图片来自网络)
尽管西班牙征服者的到来给当地传统的羊驼管理方式导致了不小的冲击,但令人欣慰的是,从此羊驼这个物种,也从南美洲走向了世界!

(图片来自网络)
来源:中国科学院动物研究所
转载自中科院之声微信公众号
编辑:fengyao
