πDay | 神奇!你的生日出现在圆周率中!
原创 北京大学 2021-03-14
晨雾 / 转帖
编者按
2019年11月26日
联合国教科文策划
第四十届大会
正式宣布
每年的3月14日为
“国际数学日”
因“3.14”是最接近圆周率的两位小数
3月14日又名为 “πDay”
2021年3月14日
是第二个国际数学日
也是北大数学科学学院师生
举办活动,庆祝πDay的第11年
数学技术渗透生活
数学之美无处不在
就拿今天的日期来说
2021.03.14
其中也暗藏玄机
今天
就让北大数院隐藏大佬
吉祥物识数鸡
带我们一起来探索其中奥秘
检验自己的数学等级
"Let's Paity."
(文末有互动,分享赢福利!)
你的生日在圆周率里吗?

想知道 你的生日
是否在圆周率中吗?
它会出现在 π的小数点后第几位 呢?
长按下方二维码进入“北大数院人”公众号
发送你的生日(例: 20210314 )
小北为你揭晓!
“其实现在关于π中是否包含所有数字组合的性质还没有得到证明呢……你会成为那个程序也找不到你的生日的天选之人吗?”
神不神奇?
接下来就跟随小北一起探索π的奥秘吧!
这趟探秘之旅
自然首先要从“3.14”开始
“3.14”是圆周率 π 的起始三位数
π作为一个无限不循环小数
浸透数学的奥妙
穷极造物的精巧
人类对π的探索至少可以 追溯到三千年前
π计算史,知多少
圆周率π,就是圆的周长与直径的比值 。
圆,这一被毕达哥拉斯称之为最美的平面图形,在工程、艺术、哲学领域都广受青睐,在我们 识数鸡 眼里也十分美妙。爱屋及乌,千百年来人们也在不断地探索和感受着π的魅力。早在三千年前,人们就开始尝试计算圆周率的数值。

各大文明古国都对圆周率的数值有一定的认识,我国的《周髀算经》(公元前1世纪)和《九章算术》(公元1世纪)记载的估计值为“3”。这一时期,人们对圆周率的探索尚处在实验阶段,通过衡量圆周长度、摆放谷粒求取面积、切割匀重木板称重等粗糙的方法对圆周率进行估算。

几何推算
最早应用几何方法近似计算圆周率的人是古希腊数学家阿基米德。他使用圆的内接、外切正多边形,应用夹逼的方法对圆周进行了估计,并证明了


2014年纽埃发行了“π——圆的秘密”彩色纪念银币。该币直径50毫米,重50克,面额2新西兰元,发行量500枚。该币最大的特点就是应用了纳米雕刻技术,在币面上的一个边长11毫米的方块内,容纳了π的超过100万个数字。
在我国古代, 刘徽的“割圆术”仅用圆的内接正多边形就可求出圆周率的上、下界, 并给出了“

”的估计。
随后,祖冲之不仅求得

,还给出 两个圆周率的近似分数,即密率355/113(这是分母小于16604的分数中最接近圆周率的一个)和约率22/7,这一成果被称为“祖率” ,在圆周率计算史上保持了九百多年的记录。

北京古观象台祖冲之雕像
同样运用几何方法, 阿拉伯学者卡西于1424年算出有17位可靠数字的圆周率,德国数学家鲁道夫用一生精力计算出的35位小数 。
分析方法
随着数学分析的发展,数学家发现了许多比几何方法更加高效的计算公式,让 识数鸡 获得了更加精确的圆周率。
1579年,法国数学家韦达利用他发现的连乘积公式计算出:

1673年,莱布尼茨利用 反正切函数的级数展开式:

得到:

1706年,英国数学家梅钦发现了 Machin公式 :

并用该公式计算到的小数点后100位。
此后的一段时间里,数学家开始广泛 使用无穷级数的方法计算圆周率的更多位数,较著名的有印度数学家拉马努金在1914年发现的公式 :

在1948年,英国数学家费格森和美国数学家伦奇计算到的808位小数,这是人工计算圆周率的最高成就。
科学计算
随着电子计算机的发展,圆周率的精度被不断快速地刷新。数学家们提出了各种巧妙的计算方法,极大丰富了我们 识数鸡 计算圆周率的手段。
丘德诺夫斯基兄弟得到拉马努金公式的改进公式:

并在1996年计算出的80亿位小数。1995年,三位美国算法学家David Bailey, Peter Borwein和Simon Plouffe共同发现了计算16进制下圆周率小数点后任意一位的算法。
神奇的π
任意数的传说与正规数
关于圆周率
识数鸡 分享一个传说
“圆周率小数点后的
那一串数字里
藏着你的任何秘密!
出生日期、手机号、QQ号
甚至各种账户的数字密码
你都能在圆周率中找到。”

事实上
藏有所有整数的数是真实存在的
例如可以把所有的正整数从小到大地写出来:

数学家埃米尔·博雷尔
在1909年定义了一种叫 正规数 (Normal Number)的数
并且证明了几乎所有实数是正规的。
注:正规数,粗略定义为,在数字上显示出随机分布,且每个数字出现机会均等的实数。“数字”指的是小数点前有限个数字(整数部分),以及小数点后无穷数字序列(分数部分)。
只要证明了π是正规数
那么根据正规数的定义
π的传说就得到了证实
然而要证明一个
不是明确构造为正规数的数
的正规性非常困难
所以虽然π中找到了任何在世的人的出生日期
但对π传说的证明
至今仍遥不可及
这个神奇又迷人的传说
还在等待数学工具的发展
人类对数学知识的不断探索
给出最终解答

Buffon投针试验
18世纪,法国数学家布丰(1707-1788)提出的 “投针问题” ,记载于布丰1777年出版的著作中: “在平面上画有一组间距为

的平行线,将一根长度为

的针任意掷在这个平面上,求此针与平行线中任一条相交的概率。”
布丰本人证明了,这个概率是:

由于它与π有关,于是人们想到利用投针试验来估计圆周率的值。布丰最早设计了投针试验。
这一方法的步骤是:
1) 取一张白纸,在上面画上许多条间距为a的平行线。
2) 取一根长度为

的针,随机地向画有平行直线的纸上掷n次,观察针与直线相交的次数,记为m。
3)计算针与直线相交的频率

。
由频率估计概率从而得到π的近似值。这一试验开后世 Monte Carlo 方法之先河。

投针试验
最后, 识数鸡 还找到很多有意思的
π藏身公式
(1) 上文提到的韦达公式,仅仅使用数字2就可以求出π的近似值

(2)欧拉公式,让π与数学中其他4个最重要的常数汇聚一堂,被称为最优美的公式之一

巧的是,今年刚好是欧拉诞辰314周年!
(3)斯特林公式,对整数阶乘(n!=1·2·……·n)的绝佳近似,在统计物理中大放异彩,为麦克斯韦-玻尔兹曼统计等等的推导立下不朽功勋

(4)正态分布密度函数,其中的π由归一化产生的。中心极限定理指出大量独立同分布的随机变量的均值近似服从正态分布,从而解释了正态分布的“无处不在”,由此,π在概率论中也是经常亮相

奇妙的2021
说完3.14
下面再来介绍2021
在我们眼中只是普通的年份
日历上每页固定的开头
但在 识数鸡 的眼中
2021也可以是蕴含奇妙的数字
除了对神奇的进行研究
数学家偏爱 素数
2021虽然自身不是一个素数
但它每两个相邻数字之和都是素数
并且全部数字之和也是素数
识数鸡 带我们先从“素数”出发
看看2021还有那些奇妙之处吧
1
半素数
2021是一个半素数
而且可由两个相邻素数相乘得到(2021=43×47)
上一个拥有此性质的年份是1763(41×43),258年前;
而下一个这样的年份,则是2491(47×53),470年后
2021是前后七百多年中唯一一个十分特殊的年份!
识数鸡小科普:可由两个(可以相同)素数乘积得到的正整数,被称为半素数
此外
“2021“的两个素数因子43和47
不止是两个普通的素数
更是 乌拉姆螺旋 中的素数;

乌拉姆螺旋,图源:“普林小虎队”推送
2
“跨年孪生素数”
2020年的最后一天
2021年的第一天的数字序列
20201231和20210101都是素数
“跨年孪生素数”
上一对这样的跨年孪生素数是19871231和19880101,24年前
而下一对则是20291231和20300101,9年后

3
素数日“数学占卜”
20210101是素数
那么今年的全部数字序列中有多少素数呢?
识数鸡 将2021的365个八位日期数字全部搜索一遍
发现共有21个素数

其中不乏一些节日:
20210101是元旦,
20210401是愚人节,
20211001是国庆节节,
20211221是冬至。
2021年新的朋友圈文案
识数鸡 帮你想好了

4
整数的平方和
2021不能写成两整数的平方和
因为43和47都是模4余3的素数
但它可写成三整数的平方和
例如可以借助2020

于是
2021=12+162+422
此外,根据将正整数n表示成四个整数平方和的表法个数

因此
r(2021,4)=8×(1+43+47+2021)=16896
即将2021表示成四个整数的平方和的方法
(计顺序、计正负)共有16896种
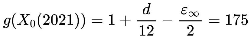
5
模曲线
级为2021的模曲线X0(2021)没有椭圆点
有4个尖点
同余子群的指数为d(Γ0(2021))=26×3×11
因此X0(2021)的亏格为175:

“也就是说,
它是一个有175个洞的甜甜圈,
上面还粘了四个尖尖的葡萄干。”
一个个数字的背后
定义了世界,规范着运行
浸透数学的奥妙
穷极造物的精巧
更是激励着你我不断探求
留意生活
感受数学之美


国际数学日介绍
introduction
2019年11月26日,联合国教科文策划在第40届大会上宣布将3月14日定为国际数学日。2021年3月14日是第二届国际数学日,今年的庆祝活动将围绕主题“Mathematics for a Better World”展开。

从2010年第一次πDay举办了“圆周率节”三角地游园会,同学们依次体验Buffon投针、围圈计算圆周率等五个游戏挑战,得到最终的“Q.E.D.”认证( 数学证明中常用的“ 证毕” )。到2019年π-Day融合了数学与武侠元素,举办主题命名为 “π大侠的未名江湖” 的庆祝活动。今年已是北大数学科学学院的师生们庆祝πDay的第11年。



随着经验的积累,πDay活动的形式不断推陈出新,“生日π对”、“314点”、白色情人节“恋爱分析”等等,数院同学和 识数鸡 每年都会给大家带去不同的乐趣。

今年的πDay主题活动同样精彩纷呈,有圆周率填空作画、buffon投针实验、查询生日在圆周率位置等有趣游戏等供同学们体验。更有徒手量π、连线成π、鲁班球、圆周率速记等积分挑战与挑战纪念品等你来嬴!

活动时间: 3月14日 10:30-16:00
活动地点: 新太阳活动中心北侧空地

今天 识数鸡 科普的知识中,出现的几个数学名词,你了解多少呢?来投票检验一下你的数学段位吧!
快来告诉小北
你是π的有缘人吗?
或分享 你与数学的故事
截止2021年3月16日12:00
留言点赞前10名的粉丝
即可获得 北京大学数学学院精美主题礼品 一份!





πDay主题帆布袋与书签
参考文献:
[1] 陈仕达,陈雪.说不尽的圆周率[M].北京:人民邮电出版社,2016.
[2] https://en.wikipedia.org/wiki/Normal_number
[3] F. Diamond, J. Shurman. A First Course in Modular Forms. GTM228. Springer-Verlag, New York, 2005.
来源:北京大学数学科学学院,北京国际数学研究中心
文字:杨婉婷、徐治荃、王丁熠、莫筱璇
采访:杨婉婷、徐治荃、王丁熠、莫筱璇
图片:北京大学数学科学学院
动图:莫筱璇
排版:刘涵烨
责编:浦海蕊
信息来源:2021-03-14 微信公号 北京大学
ID: iPKU1898
【声明】本文为转发分享,已经注明来源。不代表本平台赞成或反对原作者的观点,文责和版权属于原作者。转载此文是出于传递更多信息之目的,如有侵权请联系删除 。