

多层民用建筑施工测量
民用建筑施工测量的主要任务是建筑物的定位和放线、基础工程施工测量、墙体工程施工测量及高层建筑施工测量等。
一、施工测量前的准备工作
(1)熟悉设计图纸 设计图纸是施工测量的主要依据,在测设前,应熟悉建筑物的设计图纸,了解施工建筑物与相邻地物的相互关系,以及建筑物的尺寸和施工的要求等,并仔细核对各设计图纸的有关尺寸。测设时必须具备下列图纸资料:
1)总平面图 如图所示,从总平面图上,可以查取或计算设计建筑物与原有建筑物或测量控制点之间的平面尺寸和高差,作为测设建筑物总体位置的依据。

2)建筑平面图 从建筑平面图中,可以查取建筑物的总尺寸,以及内部各定位轴线之间的关系尺寸,这是施工测设的基本资料。
3)基础平面图 从基础平面图上,可以查取基础边线与定位轴线的平面尺寸,这是测设基础轴线的必要数据。
4)基础详图 从基础详图中,可以查取基础立面尺寸和设计标高,这是基础高程测设的依据。
5)建筑物的立面图和剖面图 从建筑物的立面图和剖面图中,可以查取基础、地坪、门窗、楼板、屋架和屋面等设计高程,这是高程测设的主要依据。
(2)现场踏勘 全面了解现场情况,对施工场地上的平面控制点和水准点进行检核。
(3)施工场地整顿 平整和清理施工场地,以便进行测设工作。
(4)制定测设方案 根据设计要求、定位条件、现场地形和施工方案等因素,制定测设方案,包括测设方法、测设数据计算和绘制测设略图,如图所示。

(5)仪器和工具 对测设所使用的仪器和工具进行检核。
二、定位和放线
1.建筑物的定位
建筑物的定位,就是将建筑物外廓各轴线交点(简称角桩,即上图中的M、N、P和Q)测设在地面上,作为基础放样和细部放样的依据。
由于定位条件不同,定位方法也不同,下面介绍根据已有建筑物测设拟建建筑物的方法。
(1)如图2所示,用钢尺沿宿舍楼的东、西墙,延长出一小段距离l得a、b两点,作出标志。
(2)在a点安置经纬仪,瞄准b点,并从b沿ab方向量取14.240m(因为教学楼的外墙厚370mm,轴线偏里,离外墙皮240mm),定出c点,作出标志,再继续沿ab方向从c点起量取25.800m,定出d点,作出标志,cd线就是测设教学楼平面位置的建筑基线。
(3)分别在c、d两点安置经纬仪,瞄准a点,顺时针方向测设90˚,沿此视线方向量取距离l+0.240m,定出M、Q两点,作出标志,再继续量取15.000m,定出N、P两点,作出标志。M、N、P、Q四点即为教学楼外廓定位轴线的交点。
(4)检查NP的距离是否等于25.800m,∠N和∠P是否等于90˚,其误差应在允许范围内。
如施工场地已有建筑方格网或建筑基线时,可直接采用直角坐标法进行定位。
2.建筑物的放线
建筑物的放线,是指根据已定位的外墙轴线交点桩(角桩),详细测设出建筑物各轴线的交点桩(或称中心桩),然后,根据交点桩用白灰撒出基槽开挖边界线。放线方法如下:
(1)在外墙轴线周边上测设中心桩位置 如图2所示, 在M点安置经纬仪,瞄准Q点,用钢尺沿MQ方向量出相邻两轴线间的距离,定出1、2、3、…各点,同理可定出5、6、7各点。量距精度应达到设计精度要求。量出各轴线之间距离时,钢尺零点要始终对在同一点上。
(2)恢复轴线位置的方法 由于在开挖基槽时,角桩和中心桩要被挖掉,为了便于在施工中,恢复各轴线位置,应把各轴线延长到基槽外安全地点,并做好标志。其方法有设置轴线控制桩和龙门板两种形式。
1)设置轴线控制桩 轴线控制桩设置在基槽外,基础轴线的延长线上,作为开槽后,各施工阶段恢复轴线的依据,如图2所示。轴线控制桩一般设置在基槽外2~4m处,打下木桩,桩顶钉上小钉,准确标出轴线位置,并用混凝土包裹木桩,如图3所示。如附近有建筑物,亦可把轴线投测到建筑物上,用红漆作出标志,以代替轴线控制桩。

2)设置龙门板 在小型民用建筑施工中,常将各轴线引测到基槽外的水平木板上。水平木板称为龙门板,固定龙门板的木桩称为龙门桩,如图4所示。设置龙门板的步骤如下:

在建筑物四角与隔墙两端,基槽开挖边界线以外1.5~2m处,设置龙门桩。龙门桩要钉得竖直、牢固,龙门桩的外侧面应与基槽平行。
根据施工场地的水准点,用水准仪在每个龙门桩外侧,测设出该建筑物室内地坪设计高程线(即±0标高线),并作出标志。
沿龙门桩上±0标高线钉设龙门板,这样龙门板顶面的高程就同在±0的水平面上。然后,用水准仪校核龙门板的高程,如有差错应及时纠正,其允许误差为±5mm。
在N点安置经纬仪,瞄准P点,沿视线方向在龙门板上定出一点,用小钉作标志,纵转望远镜在N点的龙门板上也钉一个小钉。用同样的方法,将各轴线引测到龙门板上,所钉之小钉称为轴线钉。轴线钉定位误差应小于±5mm。
最后,用钢尺沿龙门板的顶面,检查轴线钉的间距,其误差不超过1:2 000。检查合格后,以轴线钉为准,将墙边线、基础边线、基础开挖边线等标定在龙门板上。
三、基础工程施工测量
1.基槽抄平
建筑施工中的高程测设,又称抄平。
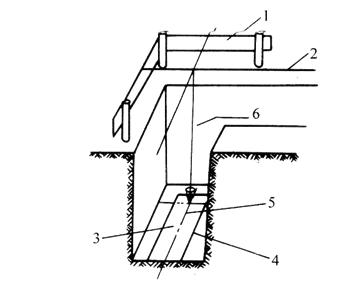
(1)设置水平桩 为了控制基槽的开挖深度,当快挖到槽底设计标高时,应用水准仪根据地面上±0.000m点,在槽壁上测设一些水平小木桩(称为水平桩),如图5所示,使木桩的上表面离槽底的设计标高为一固定值(如0.500m)。

为了施工时使用方便,一般在槽壁各拐角处、深度变化处和基槽壁上每隔3~4m测设一水平桩。
水平桩可作为挖槽深度、修平槽底和打基础垫层的依据。
(2)水平桩的测设方法 如图5所示,槽底设计标高为-1.700m,欲测设比槽底设计标高高0.500m的水平桩,测设方法如下:
1)在地面适当地方安置水准仪,在±0标高线位置上立水准尺,读取后视读数为1.318m。
2)计算测设水平桩的应读前视读数b应:

3)在槽内一侧立水准尺,并上下移动,直至水准仪视线读数为2.518m时,沿水准尺尺底在槽壁打入一小木桩。
2.垫层中线的投测
基础垫层打好后,根据轴线控制桩或龙门板上的轴线钉,用经纬仪或用拉绳挂锤球的方法,把轴线投测到垫层上,如图6所示,并用墨线弹出墙中心线和基础边线,作为砌筑基础的依据。

由于整个墙身砌筑均以此线为准,这是确定建筑物位置的关键环节,所以要严格校核后方可进行砌筑施工。
3.基础墙标高的控制
房屋基础墙是指±0.000m以下的砖墙,它的高度是用基础皮数杆来控制的。

(1)基础皮数杆是一根木制的杆子,如图7所示,在杆上事先按照设计尺寸,将砖、灰缝厚度画出线条,并标明±0.000m和防潮层的标高位置。
(2)立皮数杆时,先在立杆处打一木桩,用水准仪在木桩侧面定出一条高于垫层某一数值(如100mm)的水平线,然后将皮数杆上标高相同的一条线与木桩上的水平线对齐,并用大铁钉把皮数杆与木桩钉在一起,作为基础墙的标高依据。
4.基础面标高的检查
基础施工结束后,应检查基础面的标高是否符合设计要求(也可检查防潮层)。可用水准仪测出基础面上若干点的高程和设计高程比较,允许误差为±10mm。
四、墙体施工测量
1.墙体定位
(1)利用轴线控制桩或龙门板上的轴线和墙边线标志,用经纬仪或拉细绳挂锤球的方法将轴线投测到基础面上或防潮层上。
(2)用墨线弹出墙中线和墙边线。
(3)检查外墙轴线交角是否等于90˚。
(4)把墙轴线延伸并画在外墙基础上,如图8所示,作为向上投测轴线的依据。

(5)把门、窗和其它洞口的边线,也在外墙基础上标定出来。
2.墙体各部位标高控制
在墙体施工中,墙身各部位标高通常也是用皮数杆控制。
(1)在墙身皮数杆上,根据设计尺寸,按砖、灰缝的厚度画出线条,并标明0.000m、门、窗、楼板等的标高位置,如图9所示。

(2)墙身皮数杆的设立与基础皮数杆相同,使皮数杆上的0.000m标高与房屋的室内地坪标高相吻合。在墙的转角处,每隔10~15m设置一根皮数杆。
(3)在墙身砌起1m以后,就在室内墙身上定出+0.500m的标高线,作为该层地面施工和室内装修用。
(4)第二层以上墙体施工中,为了使皮数杆在同一水平面上,要用水准仪测出楼板四角的标高,取平均值作为地坪标高,并以此作为立皮数杆的标志。
框架结构的民用建筑,墙体砌筑是在框架施工后进行的,故可在柱面上画线,代替皮数杆。
五、建筑物的轴线投测
在多层建筑墙身砌筑过程中,为了保证建筑物轴线位置正确,可用吊锤球或经纬仪将轴线投测到各层楼板边缘或柱顶上。
1.吊锤球法
将较重的锤球悬吊在楼板或柱顶边缘,当锤球尖对准基础墙面上的轴线标志时,线在楼板或柱顶边缘的位置即为楼层轴线端点位置,并画出标志线。各轴线的端点投测完后,用钢尺检核各轴线的间距,符合要求后,继续施工,并把轴线逐层自下向上传递。
吊锤球法简便易行,不受施工场地限制,一般能保证施工质量。但当有风或建筑物较高时,投测误差较大,应采用经纬仪投测法。
2.经纬仪投测法
在轴线控制桩上安置经纬仪,整平后,瞄准基础墙面上的轴线标志,用盘左、盘右分中投点法,将轴线投测到楼层边缘或柱顶上。将所有端点投测到楼板上之后,用钢尺检核间距,相对误差不得大于1/2000。检查合格后,才能在楼板分间弹线,继续施工。
六、建筑物的高程传递
在多层建筑施工中,要由下层向上层传递高程,以便楼板、门窗口等的标高符合设计要求。高程传递的方法有以下几种:
1.利用皮数杆传递高程
一般建筑物可用墙体皮数杆传递高程。具体方法参照"墙体各部位标高控制"。
2.利用钢尺直接丈量
对于高程传递精度要求较高的建筑物,通常用钢尺直接丈量来传递高程。对于二层以上的各层,每砌高一层,就从楼梯间用钢尺从下层的"+0.500m"标高线,向上量出层高,测出上一层的"+0.500m"标高线。这样用钢尺逐层向上引测。
3.吊钢尺法
用悬挂钢尺代替水准尺,用水准仪读数,从下向上传递高程。
高层建筑施工测量
高层建筑物施工测量中的主要问题是控制垂直度,就是将建筑物的基础轴线准确地向高层引测,并保证各层相应轴线位于同一竖直面内,控制竖向偏差,使轴线向上投测的偏差值不超限。
轴线向上投测时,要求竖向误差在本层内不超过5mm,全楼累计误差值不应超过2H/10 000(H为建筑物总高度),且不应大于:
30m<H≤60m时,10mm;
60m<H≤90m时,15mm;
90m<H 时,20mm。
高层建筑物轴线的竖向投测,主要有外控法和内控法两种,下面分别介绍这两种方法。
一、外控法
外控法是在建筑物外部,利用经纬仪,根据建筑物轴线控制桩来进行轴线的竖向投测,亦称作"经纬仪引桩投测法"。具体操作方法如下:
1.在建筑物底部投测中心轴线位置
高层建筑的基础工程完工后,将经纬仪安置在轴线控制桩A1、A1′、B1和B1′上,把建筑物主轴线精确地投测到建筑物的底部,并设立标志,如图1中的a1、a1′、b1和b1′,以供下一步施工与向上投测之用。

2.向上投测中心线
随着建筑物不断升高,要逐层将轴线向上传递,如图1所示,将经纬仪安置在中心轴线控制桩A1、A1′、B1和B1′上,严格整平仪器,用望远镜瞄准建筑物底部已标出的轴线a1、a1′、b1和b1′点,用盘左和盘右分别向上投测到每层楼板上,并取其中点作为该层中心轴线的投影点,如图1中的a2、a2′、b2和b2′。
3.增设轴线引桩
当楼房逐渐增高,而轴线控制桩距建筑物又较近时,望远镜的仰角较大,操作不便,投测精度也会降低。为此,要将原中心轴线控制桩引测到更远的安全地方,或者附近大楼的屋面。

具体作法是:
将经纬仪安置在已经投测上去的较高层(如第十层)楼面轴线a10a10′上,如图2所示,瞄准地面上原有的轴线控制桩A1和A1′点,用盘左、盘右分中投点法,将轴线延长到远处A2和A2′点,并用标志固定其位置,A2、A2′即为新投测的A1A1′轴控制桩。
更高各层的中心轴线,可将经纬仪安置在新的引桩上,按上述方法继续进行投测。
二、内控法
内控法是在建筑物内±0平面设置轴线控制点,并预埋标志,以后在各层楼板位置上相应预留200mm×200 mm的传递孔,在轴线控制点上直接采用吊线坠法或激光铅垂仪法,通过预留孔将其点位垂直投测到任一楼层,如图4所示。
1.内控法轴线控制点的设置
在基础施工完毕后,在±0首层平面上,适当位置设置与轴线平行的辅助轴线。辅助轴线距轴线500~800mm为宜,并在辅助轴线交点或端点处埋设标志。如图3所示。

2.吊线坠法
吊线坠法是利用钢丝悬挂重锤球的方法,进行轴线竖向投测。这种方法一般用于高度在50~100m的高层建筑施工中,锤球的重量约为10~20kg,钢丝的直径约为0.5~0.8mm。投测方法如下:

如图4所示,在预留孔上面安置十字架,挂上锤球,对准首层预埋标志。当锤球线静止时,固定十字架,并在预留孔四周作出标记,作为以后恢复轴线及放样的依据。此时,十字架中心即为轴线控制点在该楼面上的投测点。
用吊线坠法实测时,要采取一些必要措施,如用铅直的塑料管套着坠线或将锤球沉浸于水(或油)中,以减少摆动。
3.激光铅垂仪法
(1)激光铅垂仪简介 激光铅垂仪是一种专用的铅直定位仪器。适用于高层建筑物、烟囱及高塔架的铅直定位测量。
激光铅垂仪的基本构造如图5所示,主要由氦氖激光管、精密竖轴、发射望远镜、水准器、基座、激光电源及接收屏等部分组成。
激光器通过两组固定螺钉固定在套筒内。激光铅垂仪的竖轴是空心筒轴,两端有螺扣,上、下两端分别与发射望远镜和氦氖激光器套筒相连接,二者位置可对调,构成向上或向下发射激光束的铅垂仪。仪器上设置有两个互成90˚的管水准器,仪器配有专用激光电源。
(2)激光铅垂仪投测轴线 下图为激光铅垂仪进行轴线投测的示意图,其投测方法如下:
1)在首层轴线控制点上安置激光铅垂仪,利用激光器底端(全反射棱镜端)所发射的激光束进行对中,通过调节基座整平螺旋,使管水准器气泡严格居中。
2)在上层施工楼面预留孔处,放置接受靶。
3)接通激光电源,启辉激光器发射铅直激光束,通过发射望远镜调焦,使激光束会聚成红色耀目光斑,投射到接受靶上。
4)移动接受靶,使靶心与红色光斑重合,固定接受靶,并在预留孔四周作出标记,此时,靶心位置即为轴线控制点在该楼面上的投测点。

建筑物的变形观测
为保证建筑物在施工、使用和运行中的安全,以及为建筑物的设计、施工、管理及科学研究提供可靠的资料,在建筑物施工和运行期间,需要对建筑物的稳定性进行观测,这种观测称为建筑物的变形观测。
建筑物变形观测的主要内容有建筑物沉降观测、建筑物倾斜观测、建筑物裂缝观测和位移观测等。
一、建筑物的沉降观测
建筑物沉降观测是用水准测量的方法,周期性地观测建筑物上的沉降观测点和水准基点之间的高差变化值。
1.水准基点的布设
水准基点是沉降观测的基准,因此水准基点的布设应满足以下要求:
(1)要有足够的稳定性 水准基点必须设置在沉降影响范围以外,冰冻地区水准基点应埋设在冰冻线以下0.5m。
(2)要具备检核条件 为了保证水准基点高程的正确性,水准基点最少应布设三个,以便相互检核。
(3)要满足一定的观测精度 水准基点和观测点之间的距离应适中,相距太远会影响观测精度,一般应在100m范围内。
2.沉降观测点的布设
进行沉降观测的建筑物,应埋设沉降观测点,沉降观测点的布设应满足以下要求:
(1)沉降观测点的位置 沉降观测点应布设在能全面折射建筑物沉降情况的部位,如建筑物四角,沉降缝两侧,荷载有变化的部位,大型设备基础,柱子基础和地质条件变化处。
(2)沉降观测点的数量 一般沉降观测点是均匀布置的,它们之间的距离一般为10~20m。
(3)沉降观测点的设置形式 如图1所示。

3.沉降观测
(1)观测周期 观测的时间和次数,应根据工程的性质、施工进度、地基地质情况及基础荷载的变化情况而定。
1)当埋设的沉降观测点稳固后,在建筑物主体开工前,进行第一次观测。
2)在建(构)筑物主体施工过程中,一般每盖1~2层观测一次。如中途停工时间较长,应在停工时和复工时进行观测。
3)当发生大量沉降或严重裂缝时,应立即或几天一次连续观测。
4)建筑物封顶或竣工后,一般每月观测一次,如果沉降速度减缓,可改为2~3个月观测一次,直至沉降稳定为止。
(2)观测方法 观测时先后视水准基点,接着依次前视各沉降观测点,最后再次后视该水准基点,两次后视读数之差不应超过±1mm。另外,沉降观测的水准路线(从一个水准基点到另一个水准基点)应为闭合水准路线。
(3)精度要求 沉降观测的精度应根据建筑物的性质而定。
1)多层建筑物的沉降观测,可采用DS3水准仪,用普通水准测量的方法进行,其水准路线的闭合差不应超过

mm(n测站数)。
2)高层建筑物的沉降观测,则应采用DS1精密水准仪,用二等水准测量的方法进行,其水准路线的闭合差不应超过

mm(n为测站数)。
(4)工作要求 沉降观测是一项长期、连续的工作,为了保证观测成果的正确性,应尽可能做到四定,即固定观测人员,使用固定的水准仪和水准尺,使用固定的水准基点,按固定的实测路线和测站进行。
表1 沉降观测记录表



注:水准点的高程 BM.1:49.538mm;
BM.2:50.123mm;
BM.3:49.776mm。
4.沉降观测的成果整顿
(1)整顿原始记录 每次观测结束后,应检查记录的数据和计算是否正确,精度是否合格,然后,调整高差闭合差,推算出各沉降观测点的高程,并填入"沉降观测表"中(表1)。
(2)计算沉降量 计算内容和方法如下:
1)计算各沉降观测点的本次沉降量:
沉降观测点的本次沉降量=本次观测所得的高程-上次观测所得的高程
2)计算累积沉降量:
累积沉降量=本次沉降量+上次累积沉降量
将计算出的沉降观测点本次沉降量、累积沉降量和观测日期、荷载情况等记入"沉降观测表"中(表1)。
(3)绘制沉降曲线 如图2所示,为沉降曲线图,沉降曲线分为两部分,即时间与沉降量关系曲线和时间与荷载关系曲线。

1)绘制时间与沉降量关系曲线 首先,以沉降量s为纵轴,以时间t为横轴,组成直角坐标系。然后,以每次累积沉降量为纵坐标,以每次观测日期为横坐标,标出沉降观测点的位置。最后,用曲线将标出的各点连接起来,并在曲线的一端注明沉降观测点号码,这样就绘制出了时间与沉降量关系曲线,如图2所示。
2)绘制时间与荷载关系曲线 首先,以荷载为纵轴,以时间为横轴,组成直角坐标系。再根据每次观测时间和相应的荷载标出各点,将各点连接起来,即可绘制出时间与荷载关系曲线,如图2所示。
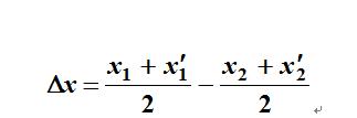
二、建筑物的倾斜观测
用测量仪器来测定建筑物的基础和主体结构倾斜变化的工作,称为倾斜观测。
1.一般建筑物主体的倾斜观测
建筑物主体的倾斜观测,应测定建筑物顶部观测点相对于底部观测点的偏移值,再根据建筑物的高度,计算建筑物主体的倾斜度,即

式中 i——建筑物主体的倾斜度;
∆D——建筑物顶部观测点相对于底部观测点的偏移值(m);
H——建筑物的高度(m);
α——倾斜角(°)。
由公式可知,倾斜测量主要是测定建筑物主体的偏移值ΔD。偏移值ΔD的测定一般采用经纬仪投影法。具体观测方法如下:

(1)如图3所示,将经纬仪安置在固定测站上,该测站到建筑物的距离,为建筑物高度的1.5倍以上。瞄准建筑物X墙面上部的观测点M,用盘左、盘右分中投点法,定出下部的观测点N。用同样的方法,在与X墙面垂直的Y墙面上定出上观测点P和下观测点Q。M、N和P、Q即为所设观测标志。
(2)相隔一段时间后,在原固定测站上,安置经纬仪,分别瞄准上观测点M和P,用盘左、盘右分中投点法,得到N′和Q′。如果,N与N′、Q与Q′不重合,如图3所示,说明建筑物发生了倾斜。
(3)用尺子,量出在X、Y墙面的偏移值ΔA、ΔB,然后用矢量相加的方法,计算出该建筑物的总偏移值ΔD,即:

根据总偏移值ΔD和建筑物的高度H,即可计算出其倾斜度i。
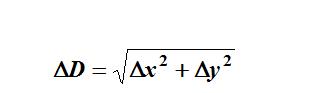
2.圆形建(构)筑物主体的倾斜观测
对圆形建(构)筑物的倾斜观测,是在互相垂直的两个方向上,测定其顶部中心对底部中心的偏移值。具体观测方法如下:

(1)如图4所示,在烟囱底部横放一根标尺,在标尺中垂线方向上,安置经纬仪,经纬仪到烟囱的距离为烟囱高度的1.5倍。
(2)用望远镜将烟囱顶部边缘两点A、A′及底部边缘两点B、B′分别投到标尺上,得读数为y1、y1′及y2、y2′,如图4所示。烟囱顶部中心O对底部中心O′在y方向上的偏移值Δy为:

(3)用同样的方法,可测得在x方向上,顶部中心O的偏移值Δx为:

(4)用矢量相加的方法,计算出顶部中心O对底部中心O′的总偏移值ΔD,即

根据总偏移值ΔD和圆形建(构)筑物的高度H即可计算出其倾斜度i。
另外,亦可采用激光铅垂仪或悬吊锤球的方法,直接测定建(构)筑物的倾斜量。
3.建筑物基础倾斜观测

建筑物的基础倾斜观测一般采用精密水准测量的方法,定期测出基础两端点的沉降量差值Δh,如图5所示,在根据两点间的距离L,即可计算出基础的倾斜度:

对整体刚度较好的建筑物的倾斜观测,亦可采用基础沉降量差值,推算主体偏移值。如图6所示,用精密水准测量测定建筑物基础两端点的沉降量差值Δh,在根据建筑物的宽度L和高度H,推算出该建筑物主体的偏移值ΔD,即

三、建筑物的裂缝观测
当建筑物出现裂缝之后,应及时进行裂缝观测。常用的裂缝观测方法有以下两种:
1.石膏板标志
用厚10mm,宽约50~80mm的石膏板(长度视裂缝大小而定),固定在裂缝的两侧。当裂缝继续发展时,石膏板也随之开裂,从而观察裂缝继续发展的情况。
2.白铁皮标志

(1)如图7所示,用两块白铁皮,一片取150mm×150mm的正方形,固定在裂缝的一侧。
(2)另一片为50mm×200mm的矩形,固定在裂缝的另一侧,使两块白铁皮的边缘相互平行,并使其中的一部分重叠。
(3)在两块白铁皮的表面,涂上红色油漆。
(4)如果裂缝继续发展,两块白铁皮将逐渐拉开,露出正方形上,原被覆盖没有油漆的部分,其宽度即为裂缝加大的宽度,可用尺子量出。