1函数的单调性

2函数的奇偶性

3函数在某处的导数的几何意义

4几种常见函数的导数

5导数的运算法则

6求函数的极值

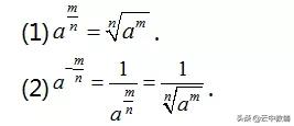
7分数指数幂

8根式的性质

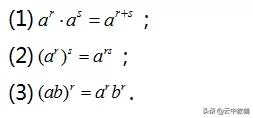
9有理数指数幂的运算性质

10对数公式

11常见的函数图像

12同角三角函数的基本关系式

13正弦、余弦的诱导公式

14和角与差角公式

15二倍角公式

16三角函数的周期

17正弦定理

18余弦定理

19面积定理

20三角形内角和定理

21a与b的数量积

22平面向量的坐标运算

23两向量的夹角公式

24平面两点间距离公式

25向量的平行与垂直

26数列通项公式与前n项和的关系

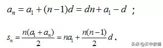
27等差数列通项 公事 与前n项和公式

28等差数列的性质

29等比数列的通项公式与前n项和公式

30等比数列的性质

31常用不等式

32直线的三角方程

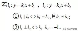
33两条直线的垂直和平行

34点到直线的距离

35圆的两种方程

36点与圆的位置关系

37直线与圆的位置关系

38椭圆、双曲线、抛物线的性质

39双曲线方程与渐近线方程的关系

40抛物线的焦半径公式

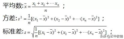
41平方差标准差的计算

42回归直线方程

43独立性检验

44复数

45参数方程、极坐标化为直角坐标

— END —